СПОРТИВНАЯ ТЕХНИКА


Abstract

COMPONENTS OF STRUCTURE OF TECHNICAL TRAINING OF ACROBATS

Ezhi Sadovski, Dr. Hab., professor

Victor Boloban, Dr. Hab., professor

Andzhej Mastalezh, Ph. D.

Tomash Nizhnikovski, Master

Academy of physical training of Josef Pilsudski in Warsaw

Faculty of physical training in Byala Podlyaska, Poland

Key words: technical training, structure, "school" of movements, special technical training, perfection of engineering.

The purpose of the research was to investigate the structure of the technical training of acrobats.

91 masters of sports, the master of sports of the international class, acrobats of the 2-nd and the 1-st sports grades, aged 11-25 years, engaged in acrobatic jumps and other acrobatic exercises have taken part in researches.

Researches of the structure of the technical training of acrobats in the long-term sports perfection have allowed allocating three its components, which determine the contents and an orientation of the development and the perfection of sports technique of acrobatic exercises.

The special technical training in the structure of the technical training is the actual at all stages of the long-term sports perfection: at the initial stage to it allocated 20% of a teaching material; on base - 52%; at the stage of sports perfection - 28%. The efficiency of the special technical training of young acrobats by means of formation of motor skills of base acrobatic exercises and their associations and combinations is confirmed in the pedagogical experiment.


КОМПОНЕНТЫ СТРУКТУРЫ ТЕХНИЧЕСКОЙ ПОДГОТОВКИ АКРОБАТОВ

Доктор педагогических наук, профессор Ежи Садовски
Доктор педагогических наук, профессор Виктор Болобан
Доктор Анджей Масталеж
Магистр Томаш Нижниковски

Академия физического воспитания Юзефа Пилсудского в Варшаве
Факультет физического воспитания в Белой Подляске, Польша

Ключевые слова: техническая подготовка, структура, "школа" движений, специальная техническая подготовка, совершенствование техники.

Введение. Техническая подготовка (ТП) акробатов осуществляется в условиях роста трудности соревновательных упражнений, повышения требований к качеству исполнительского мастерства, стабильности спортивной техники упражнений, демонстрируемых спортсменами на соревнованиях, и должна приобретать системный характер многолетнего спортивного совершенствования.

Цель. Исследовать структуру технической подготовки акробатов.

Методы. 1. Структурно-функциональный анализ содержания ТП акробатов в теории и на практике. Изучение научной и методической литературы по акробатике и другим сложнокоординационным видам спорта, содержания классификационных, учебных и тренировочных программ подготовки акробатов (1988 - 2002), этапов многолетнего спортивного совершенствования (1988 - 2002), практического опыта тренеров, воспитавших мастеров спорта и мастеров спорта международного класса (n = 25), содержания произвольных и финальных акробатических упражнений, протоколов результатов соревнований. 2. Видеокомпьютерный анализ контрольных акробатических упражнений с использованием модульного анализатора движений APAS 2000. Исследование траекторий движений биозвенев тела и ОЦМ, межбиозвенных углов, линейных и угловых скоростей и ускорений, времени выполнения упражнения и его отдельных фаз, поз и положений тела. 3. Педагогический эксперимент. Исследование эффективности специальной технической подготовки юных акробатов на основе реализации биомеханических показателей узловых элементов спортивной техники базовых акробатических упражнений путем применения целевых программ подготовки.

В исследованиях приняли участие 91 акробат 2-го, 1-го спортивных разрядов, мастера спорта, мастера спорта международного класса, занимающиеся акробатическими прыжками на дорожке, акробатическими упражнениями в двойках, тройках, четверках, в возрасте 11 - 25 лет.

Результаты. Исследования структуры технической подготовки акробатов в многолетнем спортивном совершенствовании позволили выделить три ее компонента (рис. 1). Установлено, что компоненты структуры ТП акробатов по своим целям и содержанию функционально соответствуют этапам многолетнего спортивного совершенствования: "школа" движений - этапу начальной подготовки, специальная техническая подготовка - базовому этапу, совершенствование спортивной техники соревновательных упражнений - этапу спортивного совершенствования. Учебный материал компонентов структуры ТП имеет преемственность, функционально взаимосвязан и взаимосодействует решению задач спортивной подготовки.

Рис. 1. Компоненты структуры технической подготовки акробатов

Рис. 2. Биокинематическая схема базового акробатического упражнения сальто назад в группировке, выполненного после рондата (в связке рондат-сальто). Исполнитель - чемпион Польши по акробатическим прыжкам на дорожке С.С.

Первый компонент структуры ТП - "школа" движений - продолжает совершенствоваться с учетом тенденции развития спортивной акробатики, а также других факторов. Накоплен богатый опыт формирования у юных спортсменов "школы" движений в видах спорта, сложных по координации [1, 2, 6, 8, 9, 10, 17 и др.]. Связано это с правильно сформированными целями "школы" движений: 

1. Развить координационные способности юных спортсменов к равновесию, пространственному и временному анализу движений и упражнений, дифференцированию мышечных усилий, устойчивости и чувствительности вестибулярных реакций, симметрии и асимметрии движений, оценке поз и положений тела, темпу и ритму движений и др. 

2. Научить детей выполнять большое количество разнообразных простых упражнений, создав, таким образом, фонд движений, необходимый для того, чтобы "специализировать" сенсорные системы организма для эффективного выполнения упражнений постепенно возрастающей сложности в условиях тренировочных занятий и соревнований. Реализуются средства основной гимнастики, музыки, игр, танца, хореографии, "малой" акробатики, прыжков на батуте, тематические комплексы упражнений, технические средства и др.

3. Сформировать у юных спортсменов гимнастический стиль выполнения упражнений, для которого характерны: красивая осанка, правильные линии тела, прямые ноги, оттянутые носки, точность поз и положений тела, динамизм движений, хореографичность, артистизм.

Второй компонент структуры ТП - специальная техническая подготовка (СТП) как направление работы тренера и спортсмена - раскрыта в трудах [6, 11]. "...Таким образом, должен существовать особый предмет СТП, который представляет собой не только соревновательные упражнения (составляющие цель подготовки), но и специально отобранные и систематизированные учебно-тренировочные упражнения, составляющие необходимую базу для освоения намеченных на будущее соревновательных упражнений. ...Значение СТП исключительно велико - это краеугольный камень подготовки гимнаста высокого класса..." [15, с. 297 - 298]. Цель СТП - сформировать у спортсменов специальные двигательные навыки выполнения узловых элементов спортивной техники базовых акробатических упражнений и их динамических соединений в связки и комбинации; на этой основе вести подготовку спортсменов к выполнению профилирующих упражнений с использованием актуальных педагогических технологий.

Биомеханический анализ акробатических упражнений, в том числе сальто назад в группировке, выполненного после рондата (рис. 2) в связке рондат-сальто, позволил выделить три узловых элемента спортивной техники (рис. 3) - пусковую позу (ПП), мультипликацию поз (МП), итоговую позу (ИП). На материале анализа сальто назад в группировке установлено, что ПП - это биомеханически рациональное положение биозвеньев тела на опоре в подготовительной фазе сальто, для эффективного отталкивания вверх. У спортсменов высокой квалификации при выполнении сальто назад в группировке ПП в системе координат расположена в секторе отталкивания, заключенном в 7 - 5° до вертикали и 5° за вертикалью. Спортсмены принимают упругожесткое положение тела на опоре в стойке на носках, с руками, поднятыми вперед-вверх. Межбиозвенные углы находятся в границах: голень - бедро - 176 -180°; бедро - туловище - 180 -183°; туловище - плечо - 145 -155°; плечо - предплечье - 145 -155°.

Рис. 3. Узловые элементы спортивной техники сальто назад в группировке:

а - пусковая поза (ПП)
b - поза "группировка" и ее мультипликация (МП)
c - итоговая поза (ИП)

Рис. 4. Кинематические графики скоростей (результирующих) звеньев тела спортсмена, выполняющего сальто назад в группировке после рондата в связке (рондат-сальто). Исполнитель - чемпион Польши по акробатическим прыжкам на дорожке С.С.

Условные обозначения: Цифры 1-7 - биозвенья тела (см. табл. 1)

МП "группировка" определяет состав движений спортсмена в основной фазе сальто назад. Плотность группировки, скорость вращения, высота полета, своевременность разгруппировки характеризуют уровень СТП акробатов. МП характеризуется такими межбиозвенными углами тела: голень - бедро - 50-60°; бедро - туловище - 43 -48°; туловище - плечо - 25-30°; плечо - предплечье - 95-105°.

ИП - важный узловой элемент спортивной техники завершающей фазы сальто назад в группировке, выполненного после рондата. Спортсмены приземляются устойчиво в положение полуприседа (угол голень - бедро находится в границах 140 -145°), с полунаклоном тела вперед (бедро - туловище - 160 -165°), руки вперед-вверх (вперед-в стороны).

В табл. 1 и на рис. 4 приведены показатели скорости (результирующей) вертикальной и горизонтальной составляющих перемещения биозвеньев тела чемпиона Польши по акробатическим прыжкам на дорожке С.C., выполняющего сальто назад в группировке после рондата (рондат-сальто). Для анализа выделим результирующие скорости движения ОЦМ и стопы. Принятие ПП выполнено со скоростью ОЦМ, равной 5,49 м/с (стопы - 5,68 м/с). При отрыве ног от опоры скорость ОЦМ равна 5,48 м/с (скорость стопы возросла до 6,28 м/с). В момент группировки тела скорость ОЦМ равна 3,87 м/с (скорость стопы возросла до 10,57 м/с). Подъем ОЦМ до высшей точки полета спортсмена снизил скорость ОЦМ до 1,83 м/с (скорость движения стопы высокая - 8,85 м/с). Такая взаимосвязь показателей может свидетельствовать о технически правильном выполнении сальто. Разгруппировка тела дала дальнейшее снижение скорости ОЦМ - 1,69 м/с (стопа - 5,37).Перед контактом с опорой ОЦМ тела спортсмена стремительно увеличил скорость до 6,94 м/с (стопа - 7,59 ), в момент контакта с опорой ИП соответственно: 2,57 и 0,49 м/с.

Таблица 1. Биомеханические показатели скорости (результирующей) перемещения звеньев тела спортсмена, выполняющего сальто назад в группировке после рондата (рондат-сальто). Исполнитель - чемпион Польши по акробатическим прыжкам на дорожке С. С.

Узловые элементы спортивной техники сальто

\

Время. 
Звенья тела спортсмена

Рациональное положение тела на опоре (пусковая поза)

Отрыв ног от опоры

Груп-
пировка тела

ОЦМ тела в высшей точке полета

Разгруп-
пировка тела

Перед контактом ног с опорой

Контакт ног с опорой (итоговая поза)

(мультипликация позы "группировка")

Время, с

 

0,01

0,23

0,46

0,58

0,98

1,05

1. Стопа, м/с

5,68

6,28

10,57

8,85

5,37

7,59

0,49

2. Коленный сустав, м/с

7,51

7,57

7,62

4,68

3,44

8,00

2,73

3. Тазобедренный сустав, м/с

5,06

5,12

4,44

4,46

3,65

7,94

2,78

4. Плечевой сустав, м/с

7,01

6,81

30,50

2,44

1,47

6,56

3,30

5. Локтевой сустав, м/с

5,81

5,58

2,96

0,94

0,92

6,13

4,56

6. Кисть, м/с

4,57

4,31

7,19

2,22

2,91

4,66

6,48

7. ОЦМ, м/с

5,49

5,48

3,87

1,83

1,69

6,94

2,57

Рис. 5. Выпрыжка полтора сальто назад в группировке из стойки на руках, с колонны на "четырех" [16]

При всем разнообразии и разнонаправленности результирующих скоростей движений биозвеньев тела, анализ показателей позволяет судить о причинно-следственном характере функционирования узловых элементов спортивной техники сальто назад в группировке. Рациональное упругожесткое положение биозвеньев тела на опоре в стойке на носках в обозначенном секторе отталкивания (ПП) способствует притормаживанию тела от движения назад, создает предпосылки содружества результирующих скоростей ОЦМ и биозвеньев тела и позволяет акробату выполнить большее количество вращений тела на восходящей части траектории полета (МП), "вкручивать" тело вверх, поднимая ОЦМ на высоту150 см. Видимо, в этом кроется причина дальнейшего усложнения акробатических прыжковых упражнений этого профиля.

В акробатических двойках, тройках, четверках (группах) ПП более разнообразны по положению тела верхнего акробата (горизонтальное, вертикальное, наклонное), по условиям опоры на нижних (на руках, плечах, бедрах, соединенных руках). Необходимый наклон тела при принятии ПП создается верхним и нижними акробатами, корректирующими положение тела для направления по заданной траектории движения.

В группах МП в группировке, согнувшись, прогнувшись, выпрямившись (выполняемых вокруг главных осей) создается тремя способами: одновременными усилиями всех партнеров (с плеч, рук, соединенных рук, колонны), последовательными усилиями верхнего и нижних акробатов (прыжком с пола и последующим толчком партнеров под спину, живот, кисти, стопы, плечи), усилиями нижних, без активных движений верхнего (из поддержки, из стойки на руках, на полу, на партнере, партнерах).

Особенности приземлений верхнего акробата на партнера (партнеров) заключаются в отсутствии у верхнего в ИП завершающих амортизационных движений и в сохранении жесткой собственной позы (исключения - приземления на плечи партнера, соединенные руки партнеров с высоты 2,5 - 3,5 м, где амортизация обоюдная (согласованная между всеми спортсменами, рис. 5). В сохранении устойчивости тела верхнего при приземлениях на руки, плечи и соединенные руки ведущую роль играют нижние, которые восстанавливают утерянное равновесие с момента начала ловли до ее окончания подниманием или опусканием опоры (например, соединенных рук в хвате "четыре") [3]. При соединении упражнений в связки и комбинации ИП переходит в ПП, что влечет за собой изменение кинематических показателей всех узловых элементов спортивной техники.

Выделенные узловые элементы спортивной техники дополняют существующую фазовую структуру акробатического упражнения (рис. 6) и позволяют сосредоточить работу на СТП. Анкетные данные и педагогический эксперимент подтвердили важность дальнейшей разработки СТП как компонента структуры ТП. На вопрос: "На каком этапе многолетнего спортивного совершенствования акробатов должна осуществляться СТП?" 100% тренеров ответили: "На всех этапах многолетнего спортивного совершенствования". По мнению тренеров, на начальном этапе подготовки учебный материал СТП должен занимать 20%, на базовом - 52% и на этапе спортивного совершенствования - 28%.

Результаты педагогического эксперимента. Экспериментальная (n = 15) и контрольная (n = 15) группы юных акробатов 2-го спортивного разряда проходили акробатическую подготовку по общепринятой методике. Дополнительно в экспериментальной группе подготовка строилась на основе формирования двигательных навыков выполнения узловых элементов спортивной техники базовых акробатических упражнений, для чего были разработаны целевые программы СТП, именуемые как: "Программа пусковой позы", "Программа мультипликации поз", "Программа приземления", "Программа динамических соединений упражнений". В табл. 2 показаны результаты педагогического эксперимента по внедрению СТП в учебно-тренировочный процесс на материале рондат-сальто. Они позволяют с достоверностью р < 0,05 утверждать, что СТП юных акробатов с использованием биомеханических показателей выполнения узловых элементов спортивной техники акробатического упражнения рондат-сальто, а также других базовых упражнений и реализованных программ подготовки эффективна.

Исследована кинематика динамических соединений акробатических упражнений в связки. Получены биомеханические показатели, раскрывающие структурно-функциональные связи и отношения узловых элементов спортивной техники, позволяющие решать задачи "стыковки" упражнений в комбинации [5].

Третий компонент структуры ТП - совершенствование спортивной техники соревновательных упражнений - материал отдельного сообщения.

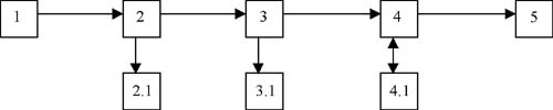
Рис. 6. Фазовая структура акробатического упражнения: 1 - исходное положение, 2 - подготови тельные действия, 2.1 - пусковая поза, 3 - основные действия, 3.1 - мультипликация поз, 4 - завершающие действия, 4.1 - итоговая поза - приземление в остановку и на переход, 5 - конечное положение [4]

Таблица 2. Судейские сбавки (в баллах) за ошибки, допущенные юными спортсменами при выполнении акробатического упражнения рондат-сальто экспериментальной (n = 15) и контрольной (n = 15) групп в педагогическом эксперименте

Узловые элементы спортивной техники сальто назад в группировке после рондата (рондат-сальто)

Математические символы

Экспериментальная группа

Контрольная группа

Январь 2002

Март 2003

Январь 2002

Март 2003

Пусковая поза в фазе подготовительных действий сальто

X
Д 

V%

0,27 
0,07 
0,02 
25,92

0,12 
0,09
 0,02 
33,33

0,28 
0,08 
0,02 
28,57

0,25
 0,07 
0,02
 28,00

Мультипликация позы в фазе основных действий сальто

X
Д 

V%

0,32
 0,09 
0,02 
28,12

0,17 
0,05 
0,01
 29,41

0,35
 0,08
 0,02 
22,86

0,27
 0,07 
0,02
 25,92

Итоговая поза в фазе завершающих действий сальто

X
Д 

V%

0,34 
0,10
 0,03 
29,41

0,15 
0
33,33

0,30 
0,07 
0,02 
23,33

0,28
 0,08 
0,02
 28,57

Оценка акробатического упражнения рондат-сальто

X
Д 

V%

8,30 
0,14 
0,04 
1,7

9,2 
0,11 
0,03 
1,22

8,35 
0,28 
0,07 
3,35

8,65 
0,22
 0,06
 11,56

Выводы. 1. Три компонента структуры технической подготовки акробатов ("школа" движений, специальная техническая подготовка, совершенствование спортивной техники соревновательных упражнений) определяют содержание и направленность развития и совершенствования спортивной техники акробатических упражнений.

2. Фазовая структура акробатического упражнения дополнена узловыми элементами спортивной техники и их биомеханическими характеристиками. В подготовительной фазе упражнения - пусковой позой - биомеханически наиболее рациональным положением биозвеньев тела на опоре в системе координат для эффективных последующих движений; в основной фазе - мультипликацией поз, в том числе и комбинированых, определяющих и характеризующих состав упражнения; в завершающей фазе - итоговой позой, формирующей приземление в остановку и на переход.

3. Специальная техническая подготовка в структуре технической подготовки актуальна на всех этапах многолетнего спортивного совершенствования: на начальном этапе ей отводится 20% учебного материала; на базовом - 52%; на этапе спортивного совершенствования - 28%. В педагогическом эксперименте подтверждена эффективность специальной технической подготовки юных акробатов посредством формирования двигательных навыков выполнения узловых элементов спортивной техники базовых акробатических упражнений и объединения их в связки и комбинации.

Литература

1. Боброва Г.Н. Работа с детьми // Поэзия движения. - Л.: Лениздат, 1987, с. 89 - 106.

2. Болобан В.Н. Юный акробат. - Киев: Здоровье, 1982. - 160 с.

3. Болобан В.Н. Спортивная акробатика. - Киев: Высшая школа, 1988. - 168 с.

4. Болобан В.Н., Мистулова Т.Е. Дидактическая система обучения спортивным упражнениям, сложным по координации // Наука в олимпийском спорте, 1995, № 1(2), с. 21 - 29.

5. Болобан В.Н., Мистулова Т.Е. Теория и практика динамических соединений спортивных упражнений, сложных по координации // Концепция развития отрасли физического воспитания и спорта в Украине. - Ровно: Листа, 1999, с. 39 - 47.

6. Гавердовский Ю.К. Не только по программе (о специализированной технической подготовке в гимнастике) // Гимнастика. - М.: ФиС, 1978, вып. 2, с. 18 - 29.

7. Дьячков В.М. Совершенствование технического мастерства спортсменов (Педагогические проблемы управления). - М.: ФиС, 1972. - 231 с.

8. Кечеджиева Л., Ванкова М., Чипрянова М. Обучение детей художественной гимнастике. - М.: ФиС, 1985. -96 с.

9. Коркин В.П. Акробатика. - М.: ФиС, 1983. - 128 с.

10. Николаев Ю.К. Акробатика в пионерском лагере. - М.: Просвещение, 1966. - 92 с.

11. Матвеев Л.П. Основы спортивной тренировки. - М.: ФиС, 1977. - 271 с.

12. Назаров В.Т. О взаимных перемещениях звеньев тела спортсмена в свободном падении // Теория и практика физ. культуры, 1970, № 6. с. 31 - 34.

13. Нижниковски Т., Вишниовски В., Болобан В.Н. Программные компоненты специальной технической подготовки юных акробатов // V Международный научный конгресс "Олимпийский спорт и спорт для всех". Минск, 2001, с. 242.

14. Садовски Е. Структура координационных способностей спортсменов, специализирующихся в спортивных единоборствах // Наука в олимпийском спорте, 2000, № 2, с. 5 - 9.

15. Смолевский В.М., Гавердовский Ю.К. Спортивная гимнастика. - Киев: Олимпийская литература, 1999. - 462 с.

16. Спортивная акробатика // Под. ред. В.П. Коркина. - М.: ФиС, 1981. - 238 с.

17. Шлемин А.М. Юный гимнаст. - М.: ФиС, 1973. - 376 с.


 Home На главную   Library В библиотеку   Forum Обсудить в форуме  up

При любом использовании данного материала ссылка на журнал обязательна!
 

Реклама: