НАЗАД

СОДЕРЖАНИЕ

ДАЛЕЕ


СРАВНИТЕЛЬНАЯ ХАРАКТЕРИСТИКА ПРОЯВЛЕНИЯ ВОЛЕВОЙ АКТИВНОСТИ В РАЗЛИЧНЫХ ВИДАХ ЛЕГКОЙ АТЛЕТИКИ

Кандидат психологических наук Ю.Я. Горбунов

Пермский государственный педагогический университет, Пермь

Анализ отечественной литературы по данной проблеме показывает, что изучение воли и волевого поведения ведется в различных направлениях и во взаимосвязи с различными психическими свойствами. Однако в большинстве работ проявление воли изучается во взаимосвязи, с каким-то одним свойством: эмоциями, особенностями личности, свойствами нервной системы, мотивами и др. Использование различных подходов (филогенетического, функционального, волевого усилия и преодоления препятствий, мотивационного) при решении проблемы воли значительно обогатило теорию воли, продвинуло решение проблемы воли вперед, но не решило ее в полной мере. Поэтому в последние годы наметилась тенденция выделения новых подходов в решении этой проблемы. Так, В.А. Иванников (1988) выделяет подход свободного выбора, в рамках которого воля наделяется функцией выбора мотивов, целей и действий, и регулятивный подход, представленный как проблема саморегуляции.

По мере накопления новых фактов предприни маются попытки решения этой проблемы при рассмотрении системы понятий, характеризующей волевую схему. Так, один из исследователей воли Е.П. Щербаков (1990) рассматривает ее как производную мотивов - целей, состояния, оценки (самооценки) и действий. По его мнению, воля формируется на основе природных свойств, социальных факторов и успешности деятельности.

В основе нашего подхода к изучению проявления волевой активности человека лежит теория интегральной индивидуальности, выдвинутая основателем Пермской психологической школы профессором В.С. Мерлиным (1986) и последовательно разрабатывае мая в последние годы профессором Б.А. Вяткиным (1999) и его учениками.

Согласно названной теории интегральная индивидуальность - это особая система связей, выражающих индивидуальное своеобразие, характер связи между разноуровневыми свойствами человека, т.е. целостная характеристика его индивидуальности.

Мы полагаем, что волевую активность необходимо рассматривать как системное образование (многоуровневое и многокомпонентное), которому присущи как компенсаторный, так и системообразующие механизмы. В психологической лаборатории Б.А. Вяткина исследовались взаимосвязи следующих индивидуальных свойств, относящихся к различным уровням: организм (телесная конституция и физическое развитие), нервная система, темперамент, личность (П.В. Токарев, 1991; Ю.Я. Горбунов, 1992; И.Е. Праведнико ва, 1993). В результате исследований было выявлено, что спорт, как особая и специфическая деятельность, способствует гармонизации интегральной индивидуальности. В спорте системообразующим фактором в развитии индивидуальности прежде всего могут быть индивидуальные стили различных (ведущих) видов активности: моторной, волевой, эмоциональной, которые опосредуют взаимосвязи между различными подсистемами индивидуальных свойств: нервной системы, темперамента, личности.

В волевой активности, по-нашему мнению, должны быть представлены, во-первых, различные уровни интегральной индивидуальности, начиная с нейродинамических особенностей и заканчивая социальным статусом личности в обществе, между которыми существует определенная система связей, во-вторых, она должна опосредовать характер взаимосвязей между различными уровнями интегральной индивидуальности.

Большинство видов спорта требуют от спортсменов активной двигательной деятельности, связанной с предельным проявлением физических и психических качеств. Поэтому достижение высоких спортивных результатов невозможно без проявления высокой волевой активности.

В проведенном нами исследовании (Ю.Я. Горбунов, Л.Л. Озорнина, 2001) была поставлена следующая задача: выявить роль волевой активности в структуре интегральной индивидуальности спортсменов, занимающихся различными видами легкой атлетики.

Изучение условий развития индивидуальности человека в спорте (Б.А. Вяткин и его ученики) показывает, что человек начинает сам активно искать наиболее эффективные приемы и способы деятельности и общения в тех случаях, когда повышаются требования к деятельности, т.е. когда он вынужден проявлять активность.

Если рассматривать спортсменов как индивидуальность, у которой в связи с участием в соревнованиях рассогласовываются разноуровневые связи, то психологическая подготовка спортсмена должна быть тем опосредующим звеном, которое обеспечит гармонизацию разноуровневых индивидуальных свойств.

Испытуемые - группа спортсменов-легкоатлетов (кмс, мс) в возрасте 17-24 года, занимающихся различными видами легкой атлетики (всего 24 человека, из которых 11 спринтеров и 13 стайеров), была диагносцирована по особенностям личности (опросник Р. Кеттелла) и выраженности волевых качеств (целеустремленность, решительность и смелость, настойчивость и упорство, выдержка и самообладание, инициативность и самостоятельность), определяемых по методу независимых характеристик ( А. И. Высоцкий, 1979 ) и самооценке волевых качеств.

В ходе исследования были получены определенные показатели уровня развития волевых качеств (оценка производилась по 10-балльной шкале).

Как показали исследования, волевые качества спортсменов развиты достаточно равномерно (средние показатели колеблются от 7,3 до 8,2 балла).

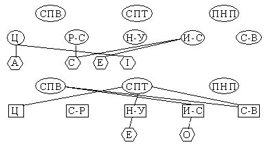
Для определения различий в структуре воли у спортсменов обеих групп были высчитаны коэффициенты ранговой корреляции между показателями уровня развития волевых качеств. Графически эти результаты представлены на рис.1

Как видно из рис. 1 и 2, между группой спринтеров и стайеров существует различие по двум корреляционным связям.

Полученные данные групп спортсменов различных специализаций также были подвергнуты факторному анализу, результаты которого представлены в табл. 1.

Как видим, факторная структура всей группы испытуемых вбирает в себя показатели волевых качеств, личностных особенностей и свойств темперамента, от которых, по всей вероятности, в большей степени зависят проявление волевой активности и успешность спортивной деятельности легкоатлетов.

Если сравнить результаты факторного анализа группы спринтеров с результатами группы стайеров, то видно, что симптомокомплексы компонентов волевой активности и разноуровневых индивидуальных свойств этих групп несколько различаются. (см. табл.1 и 2). В группе спринтеров в содержание факторов со значимыми весами вошли показатели воли, свойств нервной системы, темперамента и личностных особенностей.

В первый фактор с наибольшими весами вошли показатели воли - целеустремленность, смелость и решительность, настойчивость и упорство. По совокупности всех выделенных свойств этот симптомоком плекс можно обозначить как стиль волевой активности, направленный на вызов действий, побуждающий к деятельности.

p34_pic1.jpg (16978 bytes)

Рис.1. Схематическое изображение структуры воли в различных группах испытуемых

Ц - целеустремленность, И - инициативность, С - эмоциональная усточивость, Н - смелость, В - выдержка и самообладание, У - упорство

Таблица 1. Результаты факторного анализа группы спринтеров

Показатели Фактор 1 Фактор 2 Фактор 3
Сила процессов возбуждения 0,6191 0,166 0,042
Ригидность 0,036 -0,096 -0,799
Эмоциональная возбудимость 0,529 -0,184 0,120
Активность 0,900 0,017 0,149
C - эмоциональная устойчивость 0,533 0,112 0,057
G - выраженная сила «Я» 0,854 0,379 0,045
H - смелость 0,654 -0,123 0,365
M - непрактичность 0,088 0,857 0,324
O - тревожность 0,174 0,783 -0,135
Q3 - высокий самоконтроль 0,091 0,528 0,547
Q4 - релаксация -0,488 -0,401 -0,701
Целеустремленность 0,572 -0,148 -0,453
Смелость и решительность 0,567 -0,003 0,127
Настойчивость и упорство 0,806 0,036 -0,178
Самообладание и выдержка 0,041 0,140 0,694

1Здесь ив табл. 2 жирным шрифтом выделены факторы с наибольшими весами

Таблица 2. Результаты факторного анализа группы стайеров

Показатели Фактор 1 Фактор 2 Фактор 3
Подвижность нервных процессов -0,159 0,716 -0,042
Экстраверсия - 0,245 0,764 0,399
Ригидность 0,041 -0,931 -0,071
Темп реакции -0,020 0,284 0,852
E - независимость - 0,255 0,462 0,668
F - беспечность - 0,563 0,208 0,486
М - непрактичность 0,838 0,248 -0,021
Q1 - радикализм 0,040 0,109 0,761
Q4 - релаксация - 0,649 0,138 0,175
Смелость и решительность 0,674 0,496 0,150
Настойчивость и упорство 0,164 0,579 0,168
Выдержка и самообладание 0,104 0,781 0,080

Во втором факторе показатели волевых качеств не представлены.

В третий фактор помимо разноуровневых индивидуальных свойств с наибольшими весами вошли также показатели воли - выдержка и самообладание. Этот симптомокомплекс разноуровневых свойств можно обозначить, как стиль волевой активности, который направлен на саморегуляцию деятельности, гибкое приспособление к объективно складывающимся обстоятельствам.

В своих взглядах мы исходили из того, что стили волевой активности, опосредуя взаимосвязи разноуровневых свойств нервной системы и личности (природного и социального в человеке), будут способствовать целесообразному приспособлению к условиям спортивной деятельности.

Наиболее отчетливо различия между рассматри ваемыми группами спортсменов проявились в характере связей между разноуровневыми связями интегральной индивидуальности и волевыми характерис тиками.

Обратимся к рис. 2, на котором представлены разноуровневые связи между показателями свойств нервной системы, воли и личности спортсменов-лег коатлетов различных специализаций.

Согласно теории интегральной индивидуальности спортсмен как человек представляет собой систему разноуровневых индивидуальных свойств. Индивидуальный стиль деятельности в системе интегральной индивидуальности человека выполняет опосредующую функцию, благодаря чему между индивидуальными свойствами разных иерархических уровней возникают новые связи. В.С. Мерлин писал: "... Благодаря усвоению индивидуального стиля приводятся в согласие не все свойства интегральной индивидуальности , а лишь те, которые определяют систему опера
ций в данном виде деятельности" (В.С. Мерлин, 1986, с. 193).

Следует отметить, что проявление волевой активности у легкоатлетов-стайеров по результатам наших исследований больше зависит от свойств нервной системы, чем у спринтеров. Это подтверждается взаимосвязью всех показателей свойств нервной системы с показателями волевых качеств. В группе спринтеров между этими показателями взаимосвязи выявлено не было.

Как видно из представленных результатов, волевая активность выступает как опосредующее звено между двумя иерархическими уровнями индивидуальных свойств - нейродинамическим и личностным, способствует лучшему приспособлению различных групп легкоатлетов к специфическим условиям их спортивной деятельности, т.е. выполняет как системообразующую, так и компенсаторную функции в интегральной индивидуальности спортсменов.

Выполненное исследование позволяет сделать следующее заключение: выделение и учет комплекса условий, определяющих проявление волевой активности в учебно-тренировочном процессе, имеют важное значение для практики обучения, воспитания и подготовки спортсменов-легкоатлетов высокой квалификации; организацию психологической подготовки спортсменов-легкоатлетов различных специализа ций можно рассматривать как процесс, направленный на гармонизацию развития индивидуальности человека; в различных условиях спортивной деятельности в качестве звена, опосредующего разноуров невые связи, выступает волевая активность, которая позволяет индивидууму добиваться наибольших успехов в спорте; интегральная индивидуальность состоит из относительно замкнутых подсистем, или уровней индивидуальных свойств, между которыми благодаря волевой активности возникает определенная зависимость; выделение и учет различий, определяющих проявление волевой активности, имеет важное значение для повышения эффективности спортивной деятельности спортсменов-легкоатлетов различных специализаций, более яркого выражения индивидуальности и ее гармонического развития.

p35_pic2.jpg (22067 bytes)

Рис. 2. Графическое изображение разноуровневых связей различных групп легкоатлетов. СПВ - сила процессов возбуждения, СПТ - сила процессов торможения, ПНП - подвижность нервных процессов

Литература

1. Вяткин Б.А. Интегральная индивидуальность человека в спорте: познание, проявление, развитие. Пермь, 1999.

2. Горбунов Ю.Я. Индивидуальный стиль волевой активности и его формирование у старших школьников: Автореф. канд. дис. Пермь, 1992.

3. Мерлин В.С. Очерк интегрального исследования индивидуальности. М., 1986.

4. Праведникова И.Е. Индивидуальный стиль моторной активности: Автореф. канд. дис. Пермь, 1993.

5. Токарев П.В. Индивидуальный стиль эмоциональной активности в соревнованиях. Автореф. канд. дис. Пермь, 1991.

6. Иванников В.А. Психологические механизмы волевой регуляции. Докт. дис. М., 1988.

7. Щербаков Е.П. Функциональная структура воли: Автореф. докт. дис. Л., 1990.


 Home На главную   Library В библиотеку   Forum Обсудить в форуме  up

При любом использовании данного материала ссылка на журнал обязательна!