ПОДГОТОВКА ЮНЫХ АТЛЕТОВ


НАЗАД

СОДЕРЖАНИЕ

ДАЛЕЕ

TOP_TRENER4-99.gif (10151 bytes)

МЕТОД ПРОГНОЗИРОВАНИЯ ЭФФЕКТИВНОСТИ ВЫСТУПЛЕНИЯ СПОРТСМЕНОВ В СОРЕВНОВАНИЯХ

Доктор технических наук А.А. Таранцев
Кандидат технических наук В.Г. Чернов
Научно-производственное объединение БИАР, Москва

Во всех видах современного профессионального спорта для успешного выступления атлетов в соревнованиях различного ранга используются достижения спортивной науки и медицины. Существуют научно обоснованные методики вывода спортсменов на пик формы к определенным соревнованиям и ее поддержания в период их проведения [2].

Однако в командных видах спорта тренеру часто приходится делать выбор для заявки на конкретный матч из двух (или более) игроков, претендующих на одну и ту же позицию в составе команды и примерно равных по классу игры и уровню подготовленности к ней. В таких случаях тренер часто полагается на свою интуицию, основанную на его квалификации и опыте.

В помощь тренеру авторы разработали метод прогнозирования эффективности выступления спортсменов, на основе которого наставник команды сможет принять оптимальное решение по формированию состава игроков на конкретный матч. Прогноз эффективности выступления спортсменов в предстоящем матче рассчитывается по их математическим моделям (ММ), связывающим показатели эффективности с показателями биоритмов игроков и показателем, учитывающим фактор "своего", "чужого" или "нейтрального" поля. Эти показатели выбраны авторами в качестве воздействующих факторов потому, что они оказывают наиболее сильное влияние на эффективность выступления спортсменов в соревнованиях [1].

ММ спортсменов получаются в результате обработки предыдущих итогов их выступлений. За показатель эффективности выступления каждого спортсмена будем принимать балл, выставленный ему тренером за конкретно проведенный матч. Показателями биоритмов являются показатели физического, эмоционального и интеллектуального циклов каждого спортсмена [1].

Сущность разработанного метода заключается в следующем. Каждый спортсмен представляется в виде сложной системы, на которую действуют четыре фактора: показатели биоритмов спортсмена (x1, x2, x3) и поля (x4). Выходным параметром системы является балл (y) за проведенный матч.

Проводятся N > 4 тестовых (зачетных) выступлений спортсмена, по результатам которых формируются матрицы X и Y, содержащие соответственно данные о факторах и баллах спортсмена. Следует заметить, что матрица X содержит N строк и m = 4 столбцов, матрица Y - N строк. Затем по матрицам X и Y строятся модели в виде зависимостей параметра от фактора:

y = f (x1, x2.., xm, A),

(1)

где A - вектор коэффициентов модели, получаемый, в частности, из условия минимума суммы квадратов отклонений расчетных и экспериментальных значений баллов спортсмена.

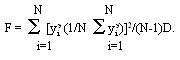
Это условие может быть записано в следующем виде [7]:

p35_for2.jpg (8364 bytes)

(2)

где D - дисперсия вычисления балла,

M - число коэффициентов модели (1) (размер вектора A),

yiэ - значение параметра, определенное по i-му выступлениюспортсмена (компонент матрицы Y),

xli - значение l-го фактора при i-м выступлении спортсмена (компонент матрицы X), l=1, 2.., m.

Вычисление вектора A по условию (2 ) может осуществляться в общем случае методами безусловной минимизации [6]. Если же заранее вид модели (1) неизвестен (а это наиболее часто встречающийся случай), то его представляют в виде уравнения регрессии:

p35_for3.jpg (7145 bytes)

(3)

где al - 1-й компонент вектора A,

zl - 1-й условный фактор, представляющий собой как собственно сам какой-либо фактор (например, zl = xl), так и его функциональное преобразование (например, zl = xl2) или сочетание факторов (например, zl = xlxl), причем zl = 1.

Применительно к модели (3 ) условие (2 ) для вычисления вектора A может быть представлено в матричном виде [4]:

A = (ZT Z)-1 ZT Y ,

(4)

где Z - матрица условных факторов, построенная по матрице X и содержащая N строк (по числу выступлений) и m столбцов, соответствующих условным факторам zl, l = 1, 2.., m, причем первый столбец матрицы Z - единичный,

Y - столбец матрицы баллов.

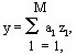
Адекватность полученных моделей (1) или (3) может быть оценена по критерию Фишера [3]: 

p36_for5.jpg (9052 bytes)

(5)

Если значение F при степенях свободы n1=N-M и n2=N-1 больше табличного значения [3], то полученная модель признается адекватной с соответствующей доверительной вероятностью и пригодной для прогнозирования эффективности выступления данного спортсмена. В противном случае следует оптимизировать вид модели (1) (в случае модели (3) - изменить состав и число условных факторов zl, l=1, 2.., m) и/или провести дополнительные выступления спортсмена (увеличить число N), после чего вновь рассчитать вектор A и оценить адекватность модели.

Прогнозирование эффективности выступления спортсмена по модели (1) или (3) осуществляется путем подстановки в нее значений факторов xl, l=1, 2.., m, соответствующих условиям выступления спортсмена в предстоящих матчах, и вычисления прогнозного значения балла yпр, после чего становится возможным принять обоснованное решение о допуске спортсмена к данным соревнованиям или необходимости каких-либо других мер.

Следует заметить, что для спортсмена может быть получено одновременно несколько адекватных моделей (1) или (3) - это так называемый принцип "многомодельности" [5], а по ним всем дан взвешенный прогноз балла за выступление с учетом значений критерия Фишера, вычисленных по выражению (5):

p36_for6.jpg (8215 bytes)

(6)

где y* - средневзвешенное значение прогнозируемого показателя эффективности выступления спортсмена (ПЭВС),

ykпр - прогнозируемое по k-й модели (1), (3) значение ПЭВС, k=1, 2.., K,

K - число моделей (1), (3) для ПЭВС,

alpha.gif (845 bytes)k - "вес" k-й модели (1), (3), который может представлять собой, в частности, величину критерия Фишера, вычисленного по формуле (5).

Рассмотрим разработанный метод на примере. Пусть требуется спрогнозировать эффективность выступления футболиста команды "Спартак" (по понятным причинам его фамилия не упоминается) на матч, который состоится 24.10.90 г. на "чужом" поле. Необходимо отметить, что значение показателя поля равно 1, -1 и 0, если матч проводится на "своем", "чужом" и "нейтральном" поле соответственно.

Была собрана информация о двенадцати (N=12) предыдущих играх и определены показатели x1 : x4 этого футболиста для этих игр. Полученные данные были сведены в табл. 1 и по ним сформированы матрицы X и Y. Компоненты матрицы Y - баллы - были определены экспертными методами с участием авторов.

Поскольку заранее вид модели (1), связывающей баллы y с показателями x1_- x4, известен не был, его стали искать как уравнение регрессии (3). После оптимизации структуры модели (3) (выбора условных факторов zl) и расчета векторов A были получены две (K=2) адекватные ММ:

a) y = 9,42 - 3,26 x12x3 + 11,6 x12x2x3 - 3,23 x1x3x4 - 0,738 x2x3;

(7)

F=8,21; M=5;

б) y = 10,6 - 4,7 x1x3x4 + 12,7 x12x2x3 + 1,4 x1x4 + 1,7 x3x4 - 0,93 x3 - 0,031 x1 + 1,58 x2x4 + 0,723 x2x3;

(8)

F=11,7; M=9.

По моделям (7),(8) и исходным данным для предстоящего матча, приведенным в табл.2, были составлены прогнозы эффективности выступления данного игрока, свидетельствующие о его хорошей готовности к этой игре. Следует заметить, что прогнозы по моделям (7) и (8) дали близкие результаты, что говорит об их высокой объективности.

И действительно в этом матче футболист проявил себя с лучшей стороны, что отражено в табл.2.

Таким образом, использование разработанного метода позволяет значительно повысить точность прогнозирования эффективности выступления спортсменов в соревнованиях и обеспечить тем самым принятие тренером обоснованных решений о возможности выступления того или иного спортсмена в предстоящих матчах самого высокого уровня.

Литература

1. Кикнадзе А. Удивительны, как всегда. - М.: Молодая гвардия, 1988.

2. Садовский Л.Е., Садовский Л.А. Математика и спорт.- М.: Наука, 1985.

3. Математическая статистика /Под ред. проф. А.М. Длина. - М.: Высшая школа, 1975.

4. Статистические методы в инженерных исследованиях. Лабораторный практикум /Под ред. Г.К. Круга. М.: Высшая школа, 1977, 3.

5. Таранцев А.А., Постнов В.Н., Чернов В.Г. Выбор параметров эквивалентных испытательных режимов. "Надежность и контроль качества", серия "Статистические методы", 1992, № 5.

6. Химмельблау Д. Прикладное нелинейное программирование. - М.: Мир, 1975.

7. Четыркин Е.М. Статистические методы прогнозирования. - М.: Статистика, 1975.


 Home На главную   Library В библиотеку   Forum Обсудить в форуме  up

При любом использовании данного материала ссылка на журнал обязательна!
 

Реклама: