МЕТОД ИССЛЕДОВАНИЯ СТРУКТУРЫ ПСИХОМОТОРНОГО ДЕЙСТВИЯ СПОРТСМЕНОВ

Усков В.А. - д.п.н., профессор, почетный работник ВПО Р.Ф., г. Москва, Россия

 

Ключевые слова: моделирование, оперативное мышление, тренажерно-исследовательский стенд, биомеханические параметры, правильность решения задач, структура двигательного действия, элементы содержания задач, фаза, умственная программа действия, пики электрической активности.

Keywords: a psychomotility, structure, a method, training apparatus, tactics, operative problems, forecasting.

Резюме. В статье представлено исследование структуры психомоторной деятельности спортсменов. Были применены два метода. Первый метод исследования включает моделирование оперативного мышления волейболистов и оценки правильности выполнения второй передачи мяча сверху двумя руками с помощью тренажерно-исследовательского стенда (А.с. В.А. Усков на изобретение № 961718). Второй метод исследования включает тренажрно-исследовательский комплекс регистрации биомеханических характеристик спортсменов. Было установлено, что с повышением квалификации спортсменов при решении оперативно-тактических задач в процессе игровой деятельности наблюдается так называемое "свертывание решения", исключение "лишних ходов", основанное на прогнозировании развития событий. Выявлено, что умственная программа выполнения передачи мяча сверху двумя руками в волейболе отражается в формах ее выполнения, что подтверждается совпадения показателей умственных действий и биомеханических параметров двигательной деятельности волейболистов.

The resume. In article research of structure of psychomotor activity of sportsmen is presented. Two methods have been applied. The first method of research includes modelling of operative thinking of volleyball players and an estimation of correctness of performance of the second pass from above two hands by means of the trenazherno-research stand (А.с. V.A.Uskov on the invention № 961718). The second method of re-search includes a trenazhrno-research complex of registration of biomechanical characteristics of sportsmen. It has been established, that with improvement of professional skill of sportsmen at the decision of opera-tional and tactical problems in the course of game activity "decision curling", an exception of "superfluous courses", based on forecasting of succession of events is observed so-called. It is revealed, that the intellectual program of performance of a pass from above in volleyball is reflected by two hands in forms of its performance that proves to be true coincidence of indicators of intellectual actions and biomechanical parametres of impellent activity of volleyball players.

Введение

Актуальность методологии исследования психомоторной деятельности объясняется недостаточностью экспериментальных работ, подтверждающих данную концепцию.

Методы и организация исследования

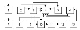
Для моделирования оперативного мышления волейболистов и оценки правильности выполнения второй передачи мяча сверху двумя руками использовался тренажерно-исследовательский стенд (А.с. В.А. Ускова на изобретение № 961718), блок схема которого представлена на рисунке 1.

Рис. 1 Тренажерно-иследовательскй стенд:

1 - катапульта; 2 - фотоэлектронное устройство (Д1); 3 - блок задания игровых комбинаций; 4 - блок измерения временных параметров; 5 - блок задержки предъявления игровых комбинаций; 6 - блок контактных датчиков; 7 - блок тиристорных пускателей; 8 - блок предъявления заданий; 9 - блок контактных датчиков; 10 - блок оценки; 11 - блок-распределитель; 12 - цифропечатающее устройство; 13 - блок питания.

Измерение технико-тактических характеристик выполнения второй передачи мяча представлена на рисунке 2.

Рис. 2. Условия измерение технико-тактических характеристик выполнения второй передачи мяча (испытуемый - мастер спорта СССР Линк, г. Таллинн)

Для измерения биомеханических параметров выполнения игрового действия использовалась комплексно-инструментальная методика регистрации, обработки и оценки биомеханических характеристик спортсменов, которая разработана во ВНИИФКе (зав. лаборатории А.В. Воронов). Блок схема инструментальной методики регистрации, обработки оценки биомеханических характеристик спортсменов представлена на рисунке 3.

Рис. 3 Блок-схема тренажерно-исследовательского комплекса регистрации биомеханических характеристик спортсменов

Метод измерения умственной деятельности связующего игрока в волейболе

Время измерения умственной деятельности игрока регистрировалось одним из секундомеров прибора ИПР-01, который включался в момент предъявления задачи из трех альтернатив с помощью 6-ти из 12 светодиодов расположенных в зонах №2, №3 и №4 по обе стороны волейбольной сети. Над головой связующего игрока, на высоте 1 метра, находящегося между зонами №2 и №3, был смонтирован параллельно полу плоский фотоэлектронный датчик. Расстояние между руками связующего игрока и плоскостью фотодатчика составляло 0,5 м. В момент касания мячом фотоэлектронного датчика заканчивалось время регистрации умственной деятельности связующего игрока, показатель которой составил 258,4 ± 30,7 мс, а общее время выполнения второй передачи - 571,6 ± 62,7 мс.

В будущем использование функциональной магнито-резонансной томографии позволит физикам и нейрофизиологам точнее определить время умственной деятельности человека в процессе выполнения игрового действия.

Организация исследования

Исследования проводились в лаборатории биомеханики ВНИИФКа. Многолетние исследования проводилась на 10 этапах с 1979 по 2009 гг., на которых изучали оперативные мышления и биомеханическую структуру действия и т.д.

Результаты исследования

Для исследования психомоторной структуры игрового действия, помимо определения правильности выбора направления, точности, времени броска мяча двумя руками, был проведен дополнительный эксперимент по определению правильности решения моделируемых игровых задач из трех альтернатив, волейболистам выполнить вторую передачу мяча вперед, над собой или назад в направлении за голову. Испытуемым различной квалификации предъявлялись задачи, содержание которых и составляло выполнение второй передачи мяча (табл. 1).

Таблица 1

Показатели решения моделируемых игровых задач при выполнении второй передачи мяча квалифицированными волейболистами


п/п

Кол-во увиденных элементов в одной задаче

Правильность решения игровых задач,
балл

Точность выполнения второй передачи мяча,
балл

Время решения задач, мс

1

4

1,45± 0,38

1,72± 0,52

617,5± 63,9

2

5

1,82± 0,42

1,91± 0,46

621,8± 71,4

3

6

3,81± 0,34

2,72± 0,37

638,3± 58,5

У испытуемых после восприятия 4 из 6 элементов содержания моделируемых игровых задач правильность их решения составила 1,45± 0,38 балла, точностью передачи -1,72± 0,52 балла и время решения задач - 617,5± 63,9 мс.

У испытуемых после восприятия 5 из 6 элементов содержания моделируемых задач правильность решения задач составила 1,82± 0,42 балла, точность выполнения передачи мяча - 1,91± 0,46 балла, а время решения задач - 621,8± 71,4 мс. У испытуемых после восприятия 6 из 6 элементов содержания моделируемых игровых ситуаций правильность их решения составила 3,81± 0,37 балла, а время решения задач - 638,3± 58,5 мс.

Следовательно, с увеличением времени восприятия элементов содержания игровой задачи (от 4 до 6) правильность решения задач улучшилась на 162,7% (р< 0,05), точность выполнения передачи мяча улучшилась на 58,1% (р<0,05), а время решения - на 3,4% (р>0,05).

Таким образом, исследования игровой деятельности спортсменов в игровых видах спорта позволили выявить следующее: виды мышления, количество воспринимаемых элементов содержания игровых задач, количество зон сбора информации для принятия решения, правильность и время решения игровой задачи, точность выполнения игрового действия и количество ходов принятия решения.

Установлено, что одной из важных характеристик поиска решения задач является обязательное включение зоны №3 в структуру сбора элементов содержания задач.

Классификация О.К. Тихомирова (9) подтверждают правильность, выявленных видов мышления для изучения особенностей оперативно-тактического мышления спортсменов.

Полученные данные использовались для разработки методологии исследования психомоторной и двигательной деятельности спортсменов.

С целью выявления структуры психомоторной деятельности спортсменов использовали метод сравнения умственных показателей выполнения второй передачи мяча и двигательных показателей.

Проблемы управления действиями отражены в работах Н.А.Бернштейна [2]; П.К.Анохина [1]; Л.В.Чхаидзе [7, 8]; Д.Д.Донского [3]; А.Ф.Самойлова [4].

В процессе выявления структуры двигательного действия использовался метод "наложения" [5, 6]. На рисунки 4 представлена внешняя форма структуры движений игрока, который выполняет вторую передачу мяча сверху двумя руками в волейболе.

Одно двигательное действие отличается от другого следующими характеристиками: пространственными (траекториями движений, формой, направлением движений рук и ног, амплитудой движений рук и ног, темпом движений); временными, пространственно-временными (скоростью выполнения действия).

Для того, чтобы игрок выполнил передачу мяча сверху двумя руками в условиях тренажерно-исследовательского стенда моделирующего игровые ситуации трех нападающих игроков против трех блокирующих игроков и моделирующего приема мяча с подачи (условия выполнения передачи) ему необходимо принять решение для перемещения под проекцию, падающего мяча сверху на руки.

При фазовом анализе двигательного действия учитывалось, что в физиологии известны пять фаз умственного действия . В шестой фазе двигательного действия игрок принимает решение переместиться под проекцию падающего мяча на основе сравнения "образов условий выполнения приема с образом-целью". Первичный зрительный образ условий деятельности формируется в зрительном анализаторе.

Анализ рисунка 4 показывает, что в шестой фазе на первом кадре руки игрока подняты значительно выше, чем подняты на втором и третьих кадрах, что свидетельствует о поиске решения задач.

Динамика углов в суставах игрока в процессе выполнения передачи мяча сверху двумя руками в плечевом, локтевом, лучезапястном, тазобедренном, коленном и голеностопном суставе на 0,51 секунде цикла действия соответственно составляет 111, 94, 108, 135, 130, 85 градусов.

Динамика угловой скорости в суставах игрока на протяжении выполнения передачи мяча сверху двумя руками в плечевом, локтевом, лучезапястном, тазобедренном, коленном и голеностопном суставе на 0,51 секунде цикла действия соответственно составляет -0,7 ± 0,04; 0; -1,6 ± 0,8; -1,6 ± 0,9 и -8 ± 0,6 рад/сек. Динамика появления пиков возбуждения на мышцах ног и рук игрока на протяжении выполнения передачи мяча сверху двумя руками на икроножной мышце, внутренней головке четырехглавой мышцы бедра передних пучках дельтовидной мышцы через 0,51 секунды от начала цикла действия соответственно наблюдалась на 0,68 ±0,04 и 0,81 ± 0,05 секунде.

Следовательно, реализация разных по форме двигательных действий осуществляется под управлением разными умственными программами.

Рис. 4. Запись динамических и миографических характеристик выполнения второй передачи мяча в волейболе (МСМК Забавин А.)

В седьмой фазе на втором кадре руки игрока над головой несколько выше, чем на третьем кадре. Это говорит о том, что игрок корректирует принятие решения для выхода под мяч. С целью первого принятия решения для подготовки к выполнению двигательного действия, движущим фактором которого являются сравнения пространственных, временных и пространственно-временных образов условий деятельности игрока с образом-целью [П.К. Анохин, 1975].

В процессе принятия решения игрок сравнивает в памяти знакомые образы формы траектории, высоты и скорости полета мяча с образами-цели выполнения передачи мяча сверху двумя руками. В условиях же игры волейболист выходит под мяч в процессе выполнения передачи мяча сверху двумя руками в волейболе, которая называется подготовительной фазой. Однако в игре подготовительная фаза заканчивается так же перемещение игрока, к недолетающему до него мячу.

В восьмой фазе перед выполнением приема игрок повторно принимает решение. В этой фазе, в процессе принятия решения, игрок ориентируется в пространстве, в содержании элементов игровых ситуаций и во времени для выбора направления передачи: вперед в зону №4, над собой в зону №3 и назад в направлении за голову в зону №2.

В девятой фазе (кадр 3) происходит последовательное выполнение движений, которое является следствием реализации психомоторной программы, регулятором формирования которой выступает пространственно-временные образы. Последовательность реализации когнитивной программы действия наблюдалось по времени появления пиков возбуждения электрической активности в циклах движений. Пики электрической активности в процессе выполнения подготовительной фазы игрового действия сначала появилась на мышцах ног: на внутренней головке четырехглавой мышце бедра через 0,68 секунды, на икроножной мышце через 0,81 с и на передних пучках дельтовидной мышцы через 0,129 с и на мышцах рук: трехглавой мышце, двуглавой мышце, плечелучевой мышце через 1,48 с. На 1,85 секунде от начала цикла выполнения передачи мяча сверху двумя руками в волейболе игрок выполняет ударное движение.

В дальнейшем реализация умственной программы действия рассмотрена нами относительно фаз последовательного появления "пиков" возбуждения на мышцах ног и рук, продолжительности времени "пиков" возбуждения на мышцах, времени реакции опоры в процессе выполнения действия, времени безопорной фазы игрока, вертикального усилие на опору, времени "пиков" возбуждения всех мышц в момент выполнения ударного действия и т.д.

Электрическая активностиь на мышцах ног достоверно появляется на 31,3% (р < 0,05) раньше, чем на мышцах рук. Это объясняется тем, что при выборе исходного положения для встречи с мячом мышцы ног более активно участвуют в двигательном акте, чем руки.

Судя по всему, программа движения предусматривает прежде всего создание определенной базой позы (положения тела и конечностей в пространстве), позволяющей более эффективно перейти ко второй фазе работы рук.

В этой фазе, возможно, происходит перераспределение работы анализаторных систем. Если на первом этапе доминирующее значение имеют проприорецепторные и гравитационные анализаторы, то на втором на первое место выходит зрительный анализатор с его способностью оценивать пространственно-временные характеристики до мяча (бинокулярное зрение).

В десятой фазе двигательного действия волейболист выполняет ударное движение по мячу и сопровождает мяч руками после удара. В этот период цикла движения реакция опоры увеличивается с 953 до 1217Н. Углы в тазобедренном, коленном и голеностопном суставах соответственно увеличились со 170 до 173º, со 150 до 170º и со 71 до 106 градусов. Угловая скорость тазобедренного, локтевого и голеностопного суставов изменилась в пределах от 0 до 1,9; от - 1,3 до 1,3 и от 0,5 до - 1,4 рад/с.

Последовательность включения звеньев тела в процесс выполнения действия наблюдалась по очередности включения мышц в работу. Пики возбуждения на мышцах появились в такой последовательности: вначале одновременно на дельтовидной и икроножной мышцах, а затем на бицепсе, трицепсе и плечелучевой одновременно и в последнюю очередь - на четырехглавой мышце бедра.

Следовательно, 50% мышц включаются одновременно, 33,0% - чуть позднее.

В одиннадцатой фазе двигательного действия мяч вылетает из рук волейболиста, который фиксирует их в направлении передачи мяча: вперед, над собой, назад в направлении за голову. В данной фазе двигательного действия реакция опоры волейболиста уменьшилась с 1161 до 722Н. Угловая скорость тазобедренного сустава увеличилась с 0 до 0,1, а коленного - увеличилась с 1,3 до 1,8 рад/с. Пики электрической активности мышц проявились на отметках времени с 1,1 до 1,5с цикла движения, а их вариационный разброс составил 0,4 мкв.

На рисунке 4 представлена динамика показателей давления МС МК А.Забавина на опору (тензоплатформу) в процессе выполнения передачи мяча сверху двумя руками в волейболе. Факт выполнения игроком ударного движения на 1,5 с цикла выполнения передачи мяча подтверждается динамикой силы в ньютонах по вертикальной оси Z, которая перед началом выполнения передачи составила 816,4 Н в момент принятия исходного положения для выполнения отталкивания от платформы. После выполнения ударного движения по мячу давление игрока на тензоплатформу составило 1174,8 Н.

Выводы

1. Процедура поиска объектов среды, составляющих содержание оперативно-тактической задачи, определяется типом мышления и квалификацией спортсмена: так, спортсмены высокой квалификации используют чаще всего наглядно-образный способ мышления (Р=0,560), спортсмены средней квалификации - логический способ мышления (Р=0,744), спортсмены низкой квалификации - угадывание (Р=0,750).

2. С повышением квалификации у спортсменов при решении оперативно-тактических задач в процессе игровой деятельности наблюдается так называемое "свертывание решения", исключение "лишних ходов", основанное на прогнозировании развития событий.

3. Показателем связи оптимального тактического решения, основанного на восприятии объектов среды, с реализацией такого решения является выполнение технических приемов спортивных игр с точным адресованием мяча в цель, связанное со смысловым содержанием деятельности (например, передача мяча партнеру в волейболе, бросок мяча в кольцо в баскетболе, удар в створ ворот в футболе и т.д.)

4. Изучены особенности оперативного мышления: поисковая деятельность связующих игроков, осуществляемая на основе "механизма кругового сличения" элементов содержания задач; новички с вероятностью 0,75 выбирают направление броска мяча на уровне угадывания; мастера спорта при выборе передачи мяча с вероятностью 0,43 используют "логический тип мышления" и с вероятностью 0,56 - "наглядно-образный тип мышления".

5. Выявлено что при точном выполнении игрового действия пики возбуждения возникают на шести исследуемых мышцах практически одновременно, а время рассогласования работы мышц ног и рук не превышает 0,08 с; при неточном выполнении количество пиков возбуждения увеличивается с 3 до 7 относительно точного действия, что подтверждается задержкой появления пиков возбуждения на мышцах ног и рук спортсмена.

6. Выявлено что умственная программа выполнения передачи мяча сверху двумя руками в волейболе отражается в формах двигательного действия, что подтверждается совпадения показателей умственных действий и направлением движений действия.

Литература

1. Алексеев Н.Г. Правомерен ли алгоритмический подход к анализу процессов обучения // Вопросы психологии. - 1963.- №3. - С. 37- 40.

2. Андрис Э.Р., Арзуманов Г.Г., Годик М.А. Выбор тренировочных средств в зависимости от структуры соревновательного упражнения // Теория и практика физ. культуры. - 1979. -№2. -С. 11-13.

3. Берг А.И. Кибернетика и надежность. - М.: Знание, 1964. - 226с.

4. Бирюкова Н.В. О методических подходах измерения точности воспроизведения пространственных параметров движений // Психомоторика. Сб. науч. трудов. - Л.: ЛГПИ, 1976. - С 69-77.

5. Выготский Л.С. Развитие психических функций. - М., 1960. - 317с.

6. Гагаева Г.М. Психологические характеристики футбола // Психология спорта. - М., 1959. - С. 58-76.

7. Донской Д.Д. Биомеханика: Учеб. пособие для студентов фак. физ. воспитания пед. ин-тов. - М.: Просвещение, 1975. - 239с.

8. Донской Д.Д. Законы движений в спорте. - М.: ФИС, 1968. - 176с.

9. Тихомиров О.К. Психология мышления. - М.: МГУ, 1984. - 267с.


 Home На главную   Library В библиотеку   Forum Обсудить в форуме 

При любом использовании данного материала ссылка на первоисточник обязательна!

Реклама: