ПСИХОЛОГИЧЕСКОЕ ПРОСТРАНСТВО ЛИЧНОСТИ КВАЛИФИЦИРОВАННОГО СПОРТСМЕНА

Андрей Колосов
к.пс.н., с.н.с., ГНИИФКС Украина, Киев, e-mail: andriy_kolosov@i.ua

 

Ключевые слова: подготовка, спортсмен, тренер, взаимовлияние, пространство личности, комфорт, содержание.

 

 

Постановка проблемы. Анализ последних исследований и публикаций. Актуальные научно-теоретические и практично-прикладные исследования отечественной и мировой психологии спорта все больше сконцентрированы вокруг личности субъекта спортивной деятельности и социально-психологических условий организации его деятельности. Свидетельством тому является значительное количество работ, посвященных проблемам социализации, адаптации, сохранению психического здоровья, идентификации, аспектам самоопределения личности спортсменов и тренеров, в которых все большего распространения приобретают исследование, связанные с ценностями и идеалами личности, целью и мотивами спортивной деятельности, сохранением принципов экологичности взаимодействия с тренером, командой (например в вопросах доверия, авторитета, дистанции, контакта), оценкой своих возможностей и способностей, ожиданий и мечтаний, представлениями о жизненных и профессиональных перспективах, а также возможными изменениями системы ценностей и смыслов на протяжении спортивной карьеры и после ее окончания.

Одним из психологических измерений уровня организации процесса спортивной подготовки является изучение характера взаимодействия атлета со средой, т.е. другими субъектами подготовки (тренером(ами), спортсменами, врачом, психологом, работниками научного сопровождения и т.п.) и ближайшим окружением (друзьями, родителями, родными, коллегами и т.п.). Значение этого измерения заключается в оценивании информационной достаточности и эмоционального комфорта личности. Наличие такого взаимодействия в значительной мере зависит от того, как воспринимает и оценивает окружающую среду субъект, какие объекты является значимыми для него, к каким он относится нейтрально, каких избегает, сознательно игнорирует, а какие вовсе не замечает. Все это имеет большое значение для анализа внутреннего мира личности атлетов, определения факторов, которые влияют на качество процесса подготовки. Такое изберательное и одновременно преобразующее отношение к внутренним и внешним условиям спортивной деятельности побуждает к применению таких терминов, как "личностное пространство", "психологическое пространство" спортсмена.

В последнее время топологические категории (пространство, поле, граница, зона, сфера, дистанция, барьер и т.п.) все чаще используют спортивные психологи и педагоги для описания внутреннего мира человека, в частности в контексте решения проблем выступлений на "своей" и "чужой" территории, влияния факторов "поля" (актуального психологического окружения) на психическое состояние [5], психологическую готовности к соревнованиям и демонстрации наилучших личных результатов [6]. Подобные факторы сказываются на характеристиках межличностных отношений, детерминируют эффективность деятельности и в конце концов обусловливают психическое здоровье личности спортсмена [14].

Научный интерес к изучению личности спортсмена и различных аспектах межличностного взаимодействия в терминах пространства обусловлен тем, что именно на границе между внешним и внутренним миром происходят основные психологические события. Именно через границы или места контакта осуществляются перцептивные процессы, которые влияют на формирование чувственного опыта, общую и двигательную компетентность личности, происходит создание внутреннего образа двигательного действия [11]. Соответственно нарушение личностных границ становится причиной искривления процессов восприятия, сужения чувственного опыта, снижения личностной активности, нарушения экологичности затрат психологических ресурсов и снижения эффективности деятельности, потери мотивации к ней.

Исследование психологического пространства личности в спортивно-педагогической деятельности становится особенно актуальным в контексте взаимодействия в субъект-субъектных системах "спортсмен-тренер", [13], "команда-тренер" "спортсмен-тренер-психолог" и др. Наличие психологического контакта, степень понимания, удовлетворенность процессом взаимодействия и, в конце концов, успешность профессиональной деятельности каждого из субъектов определенной мерой обусловлены изучениям содержания и структуры личностного пространства спортсмена, определением границ его персональной территории, ее динамических характеристик ("пустоты-наполненности", "твердости-слабости", "постоянности-регидности", "простоты-сложности") на разных этапах подготовки и в разные актуальные моменты спортивной деятельности.

Существенно важным для понимания феномена личностного взаимовлияния есть то, что психологические границы личности создают определенное энергетическое пространство, которое имеет свой периметр и конфигурацию с собственной синергичной специфической автономной реакцией, конфигурированной местом и временем. Это пространство, по убеждениям А.Манегетти, очерчивает перцептивное "семантическое поле", которое является информацией, способной в эмоциональном образе передавать любое явление или событие, изменяя при этом психоэмоциональный или органический статус получателя данной информации, т.е. субъекта, который вступает в контакт с полем. Иначе говоря, взаимодействие или взаимовлияние двух субъектов, например спортсмена и тренера, может происходить не только через вербальную и интерактивную деятельность, а даже при полном или частичном их отсутствии, при условии комплементарной настройки или склонности к обмену информацией [9].

Характеристиками, которые существенным образом влияют на содержание, структуру и само существование пространства является прежде всего: отношение личности к этому пространству в целом, к своему месту, роли и функциям в нем, а также отдельных его элементов. Основные виды такого отношения - это ожидание, надежды и опасение, смыслы и намерения и т.п.. Их также можно количественно оценить по показателям осознанности и осмысления отношений. Примером содержательной характеристики личностного пространства субъекта могут быть данные приведеные в табл.1.

Таблица 1

Основные характеристики социально-психологического просторанства
(по А.Журавлеву и А.Купрейченко, 2007)

Блоки характеристик

Содержательные характеристики

Формально-динамические характеристики

Общие характеристики просторанства

Тип элементов - люди, объекты, явления (сферы жизнедеятельности и т.п.). Основные "координатные оси" - смыслы, ценности, функции, виды и аспекты отношений (уважение, доверие, ответственность и т.п.). Основные связи и отношения между элементами. Закономерности, которым подчиняется определенное пространство, тенденции его изменения

Сформированность, структурированность, реалистичность, плотность/разряженность, динамичность/стойкость, прочность, открытость/закрытость, степень проникновенния границ и т.п.. Количество элементов, "координатных осей" (N-мерность). Однородность, разнородность, наличие и количество зон, подпространств, порогов, барьеров и т.п.

Характеристики субъекта пространства

Содержательные характер-ристики отношения:

  • к данному пространству (содержание ожиданий, надежд и опасений и т.п.);

  • к своему месту, роли и функциям в нем;

  • к отдельным его элементам.

Степень осознания и осмысления отношений. Положение субъекта в пространстве, стойкость/изменчивость его позиции, объемные характеристики, интенсивность и скорость динамических процессов (градиент, вектор перемещения в пространстве). Субъективная степень значимости отдельных координатных осей пространства, типы шкал для оценивания отношений, пороговые значения по отдельными шкалами, степень выраженности отношений.

Характеристики елементов пространства

Содержательные характеристики отношений с субъектом и другими элементами пространства; закономерности, которым подчинены эти отношения.

Положение, иерархия, структура элементов в пространстве, стойкость/изменчивость их позиций, объем отдельных элементов. Степень тождественности, совместимости, конфликтности разных элементов пространства. Интенсивность, направленность, скорость динамических процессов и взаимовлияние элементов (перемещение в пространстве, притягивания/отталкивание, избегание и т.п.).

Характеристики межпространственных отношений

Содержание связей и отношений с другими пространствами этого же субъекта и других субъектов; закономерности их изменений.

Степень тождественности, совместимости, конфликтности, обособленности, суверенности отдельных пространств. Иерархия, структура пространств. Градиент перемещений и интенсивность взаимовлияний пространств (приближение/отдаление, вытеснение, слияние/разделения, поглощение и т.п.)

Одним из линейных измерений личностного пространства и одновременно факторов, влияющих на построение спортивно-педагогической деятельности является психологическая дистанция, под которой понимают особый вид психологического пространства, в котором вся многогранность содержательных и формально-динамических характеристик отношений между тренером и спортсменом свернута к измерению психологически "далеко-близко". Это один из важнейших аспектов педагогического общения, существенным образом влияющий на взаимопонимание и взаимодействие тренеров и спортсменов. Поскольку у каждого человека есть собственный психологический комфорт, комплекс переживаний, выбор психологической дистанции является сугубо индивидуальным.

Выделяют три основные дистанции: физическую, пространственную и вертикальную [3]. Вертикальное общение (тренер-спортсмен) усложняет взаимодействие и часто ухудшает контакт, если тренер не находит общей психологической дистанции. Если во время общения со спортсменом тренер отвлекается на другие темы (которые не касаются предмета диалога), это разрушает границы контакта и нарушает общее психологическое пространство.

Одной из наиболее содержательных единиц измерения психологического пространства по мнению ряда авторов [4,8,10,11] являеются взаимоотношения личности с другими субъектами общей деятельности, которые образовывают динамическую систему отношений и формируют многомерное межличностное пространство, составляющее субъективно значимый фрагмент бытия и влияющее на актуальные направления и стратегию деятельности личности. Поэтому под понятием психологическое пространство личности спортсмена можно понимать систему положительно, нейтрально и отрицательно значемых взаимоотношений с различными субъектами спортивной подготовки (учитывая его самого) и другими социальными объектами и явлениями (реальными или умозрительными), которые находятся в специфических связях друг с другом и выполняют свои функции или роли согласно определенным нормам, правилам, стандартам, эталонам и закономерностям, а также могут существенно изменяться в разные периоды спортивной деятельности.

Цель исследования состояла в операционализация понятия психологическое пространство личности квалифицированного спортсмена, изложении понимания его сущности, структурной организации и содержания, а также научного и прикладного значения в процессе подготовки спортсменов.

Методы. В исследованные были использованы специально разработанные бланки для оценки психологической дистанции между спортсменом и тренером. Для статистической обработки информации было использован непараметрический дисперсионный анализ Крускала-Уолеса (Kruskal-Wallis ANOVA by ranks H-test). Для выявления отличий показателей двух исследований в пределах группы применялся T-Критерий Вилкоксона (Wilcoxon matched pair T-test).

Результаты исследования и их обсуждение. Организация и осуществления эксперимента происходило на базе лаборатории оперативного и текущего контроля подготовки спортсменов сборных команд Государственного научно-исследовательского института физической культуры и спорта Украины на территории ГП "Олимпийский учебно-спортивний центр" в Конча-Заспе. Исследование проводились в подготовительном и предсоревновательном периодах подготовки, в котором приняли участие спортсмены разных квалификаций общим количеством 61 человек, среди которых 29 мужнин и 32 женщины, в том числе 10 чемпионов и призеров Олимпийских игр и 19 победителей и призеров мировых первенств.

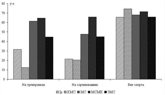
В процессе эксперимента спортсменам предложили охарактеризовать близость-удаленность отношений со своим тренером в разных ситуациях совместной деятельности реальных на момент исследования и идеально желательных для достижения наилучшего спортивно-педагогического эффекта. Было установлено, что оценки реальной психологической дистанции между тренером и спортсменом существенным образом отличаются между собой как в разных квалификационных группах, так и в разных условиях спортивно-педагогического процесса (рис.1). На диаграмме видно, что наибольшая психологическая дистанция между спортсменами и тренерами ощущается вне спортивной деятельности, что характерно для спортсменов всех квалификационных групп и является вполне естественным. Наибольшая близость вместе с тем ощущается спортсменами во время проведения соревнований, что также не вызывает удивления. Однако это явление отмечают преимущественно спортсмены низших уровней квалификации (до уровня МС), у которых оценки психологической дистанции на соревнованиях являются наиболее низкими сравнительно с тренировочными условиями. Вместе с тем высококвалифицированные спортсмены (МСМК, ЗМС) склонны отмечать постоянство психологической дистанции как в тренировочных так и в соревновательных условиях, кое-где даже небольшое ее увеличения. Очевидно, что опытные спортсмены значительно эффективнее организовывают свое личное пространство и значительно меньше нуждаются в педагогических вмешательствах во время соревновательных выступлений.

Рис.1 "Реальная" психологичесая дистанция между тренерами и спортсменами различных квалификационных груп в разных словиях спортивно-педагогической деятельности

Вместе с тем следует отметить существенное расширение личностного пространства, которое происходит после достижения атлетом уровня спортивной квалификаций МС. Именно в этот период происходит интенсификация подготовительного процесса, существенным образом увеличиваются физическая и психическая нагрузки, а также значительно повышается степень ответственности за результаты выступлений. Поэтому не удивительно, что высоко квалифицированные спортсмены отмечают большую дистанцию в отношениях со своими наставниками.

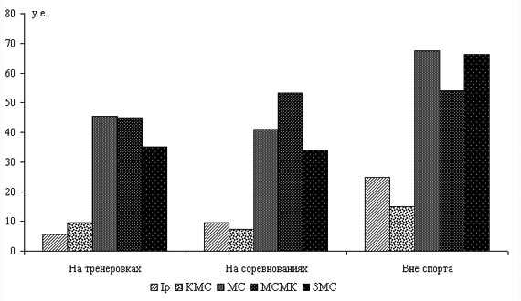
Вместе с оценкой реальной психологической дистанцией мы предложили спортсменам установить идеальною расстояние между ними и их тренерами, которое было бы наиболее комфортным и повлияла бы на более качественную организацию тренировочно-соревновательной деятельности. Опрос касался тех же ситуаций спортивно-педагогического процесса, что и в первом случае. Обобщенные результаты оценок приведены на рис.2.

Рис.2 "Ідеальная" психологическая дистанция между тренерами и спортсменами различных квалификационных групп в разных условиях спортивно-педагогической деятельности

Аналогично к первому срезу наибольшая дистанция зафиксирована в ситуациях вне спортивной жизни, тем не менее ее увеличение значительно больше удовлетворяет спортсменов высокой квалификации, тогда как низко квалифицированные атлеты не желали бы значительного ее увеличения по сравнению с тренировочными и соревновательными условиями. Что же касается высококвалифицированных спортсменов, то они стремятся к установлению большей дистанции во взаимоотношениях во время соревновательной деятельности, поскольку в это время нуждаются в определенном отстранении от внешних вмешательств, большей сосредоточенности на построении внутреннего образа соревновательных действий и мобилизации ресурсов организма. Статистическая проверка отличия оценок идеального расстояния в тренировочных условиях оказалась значимой (Н=9,5; v=4; p<0,05; n=61), что подчеркивает большое значение правильного выбора психологической дистанции для обеспечения наилучшего контакта между тренером и спортсменом, а также влияния уровня квалификации спортсменов на характер организации собственного психологического пространства. На этот факт дополнительно указывает сравнение отличий "реальной" и "идеальной" психологической дистанции между тренерами и спортсменами, установленных по величине суммарной дисперсии ее показателей в тренировочных, соревновательных условиях и вне занятий спортом (рис.3).

Очевидно, что взаимоотношения между тренером и спортсменом в процессе спортивно-педагогической деятельности должны становиться более определенными, стабильными и прогнозируемыми. В большинстве случаев за время продолжительного межличностного взаимодействия наставника и подопечного происходит постепенный эмпирический, интуитивный поиск наиболее благоприятной дистанции. Тем не менее нередко факторами, которые влияют на характер общей деятельности становятся конфликтные, кризичные и психотравмирующие ситуации спортивной подготовки, которые имеют психологическую и социально-психологическую природу и происходят в различные периоды спортивной деятельности [12]. Одним из таких сложных периодов является приближение спортсмена к демонстрации своих наилучших результатов, когда наибольшая часть подготовки приходится на внутри личностную регуляцию деятельности, его персональную ответственность в организации тренировочного и соревновательного процессов. Позиция тренера в этот период может восприниматься спортсменом с одной стороны как очень близкая, а с другой - отстраненная. Но в обоих случаях такая оценка является проявлением максимальной чувствительности атлета к любым вмешательствам со стороны наставника. Этим, по нашему мнению, можно объяснить сравнительно повышенную нестабильность оценок психологической дистанции у спортсменов с уровнем квалификацией МСМК.

Рис.3 Сравнительная характеристика отличий "реальной" и "идеальной" психологической дистанции между тренерами и атлетами в разных квалификационных группах

Сравнительный анализ оценок "реальной" и "идеальной" психологической дистанции дает возможность установить, что наибольшее статистическое отличие наблюдаются в ситуациях связанных с тренировочным процессом (Т=317,5; р<0,01; n=61), который является наиболее длительным периодом взаимодействия тренера и спортсмена и чаще всего является определяющим для эффективности спортивно-педагогической деятельности. Вместе с тем в других условиях взаимодействия тренера и спортсмена, а именно во время соревнований (Т=487,5; р=0,14; n=61) и вне спорта (Т=577,5; р=0,15; n=61), существенные отличия между данными хотя и были выявлены, тем не менее они не стали статистически достоверными.

В целом было установлено, что из всей совокупности исследуемых лиц (61 атлет), которые принимали участие в эксперименте, 35 лиц не были удовлетворены имеющимися отношениями, которые наполняют их субъективное пространство и нуждались в определенном вмешательстве в организацию спортивно-педагогического процесса, из них 23 человека стремились к более тесным отношениям, тогда как 12 хотели более дистантных взаимоотношений в различных условиях взаимодействия с тренером.

Выводы. Психологическое пространство квалифицированного атлета является сложным динамическим субъективным образованием, которое формируется системой социальных и межличностных отношений, имеет свою структурную и содержательную организацию, базируется на положительных, нейтральных и отрицательно значемых взаимоотношениях с различными субъектами подготовки, другими социальными объектами и явлениями, которые находятся в специфических связях и выполняют свои функции или роли согласно определенным нормам, правилам, стандартам, эталонам и закономерностям и могут существенно изменяться в разные периоды спортивной деятельности. Психологические мероприятия направленные на осознание атлетом собственного психологического пространства, его важных характеристик, сторон и особенностей существенно влияют на уровень личностной компетентности в организации (самоорганизации) подготовительного процесса, расширение и активизацию необходимых психологических ресурсов, а также сохранение экологичности их затрат для всех субъектов спортивной подготовки.

Литература.

1. Афтанас Л.И. Эмоциональное пространство человека : психофизиологический анализ - Новосибирск : СО РАМН, 2000. - 126 с.

2. Журавлев А.Л., Купрейченко А.Б. Социально-психологическое пространство самоопределяющегося субъекта: понимание, характеристики, виды // Вестник практической психологии образования. - 2007 - № 2 (11). - С. 7 - 13.

3. Козин А.П. Психогигиена спортивной деятельности. - Киев: Здоров'я, 1985. - 128 с.

4. Кроник А.А., Хорошилова Е.А. Диагностика взаимопонимания в значимых отношениях // Вопросы психологии. - 1987. - № 1. - С. 128 - 137.

5. Колосов А.Б. Особливості когнітивного стилю кваліфікованих спортсменів та його значення в підвищенні стрес-стійкості // Теорія і методика фізичного виховання і спорту. - 2005. - № 2 - 3. - С.120 - 123.

6. Колосов А.Б. Когнитивная регуляция личностной стрессустойчивости квалифицированного спортсмена // Спортивный психолог - 2007. - №. 2 (11). - С.46 - 50.

7. Левин К. Теория поля в социальных науках. СПб.: Сенсор, 2000. - 368 с.

8. Ложкін Г.В., Волянюк Н.Ю. Психологічна дистанція як фактор організаційного клімату // Соціальна психологія. - 2003. - № 4 (6). - С.36 - 42.

9. Манегетти А. Онтопсихология. Практика и метафизика психотерапии. - М.: ННБФ "Онтопсихология", 2004. - 144 с.

10. Нартова-Бочавер С.К. Понятие "психологическое пространство личности": обоснование и прикладное значение // Психологический журнал. - Т.24 - 2003. - № 6. - С.27 - 36.

11. Перлз Ф. Внутри и вне помойного ведра: Радость. Печаль. Хаос. Мудрость. - М.: Изд-во Института психотерапии, 2001. - 224 с.

12. Kolosov A. Psychological crises of Olympic preparation and factors their determines / Abstracts of IV Workshop ENYSSP. - Barcelona, 2008. - P.34.

13. Poczwardowskia A., Barott J., Jowett S. Diversifying approaches to research on athlete - coach relationships // Psychology of Sport and Exercise. - Vol.7. - 2006. - Is.2. - P.125 - 142

14. Reinhard S (2007). A relational perspective toward teams and groups - a theoretical outline / XII European Congress of sport psychology. - Halkidiki, 152 - 156.


 Home На главную   Library В библиотеку   Forum Обсудить в форуме 

При любом использовании данного материала ссылка на первоисточник обязательна!