ИЗМЕНЕНИЕ ФУНКЦИОНАЛЬНОГО СОСТОЯНИЯ ШКОЛЬНИКОВ СТАРШИХ КЛАССОВ ПРИ ПРОХОЖДЕНИИ ПРЕПЯТСТВИЙ ВЕРЕВОЧНОГО ПАРКА

Козина Ж.Л., Антонов О.В., Козин С.В., Гринь Л.В.

Харьковский национальный педагогический университет имени Г.С. Сковороды

Харьковский радиотехнический техникум

Харьковский национальный технический университет сельского хозяйства имени Петра Василенко

Аннотация. Рассмотрено влияние занятий в веревочных парках на показатели частоты сердечных сокращений и на скорость реакции школьников старших классов. Проведено измерение частоты сердечных сокращений с помощью монитора непрерывной регистрации сердечного ритма "Polar" во время прохождения препятствий веревочного парка школьниками. Также измерялась скорость реакции до и после прохождения препятствий веревочного парка школьниками по программе "Психодиагностика". В исследовании приняли участие 42 школьника 10-х классов Харьковской средней школы № 140. Исследования проводились на базе веревочного парка г.Харькова "S-парк". Установлено, что прохождение веревочных препятствий оказывает функциональную нагрузку, соответствующее нагрузке средней аэробной мощности. Частота сердечных сокращений во время прохождения препятствий находится в диапазоне 130-150 уд•мин-1. Прохождение веревочных этапов оказывает стимулирующее влияние на функциональное состояние школьников, о чем свидетельствует повышение скорости сложной реакции. Занятия в веревочных парках могут применяться более широко в системе физического воспитания.

Ключевые слова: школьники, движение, туризм, парк, ощущение, экстремальность, веревки, препятствия.

Анотацiя. Козiна Ж.Л., Антонов О.В., Козiн С.В., Гринь Л.В. Змiна функцiонального стану школярiв старших класiв при проходженнi перешкод мотузкового парку. Розглянуто вплив занять в мотузяних парках на показники частоти серцевих скорочень та на швидкiсть реакцii школярiв старших класiв. Проведено вимiрювання частоти серцевих скорочень за допомогою монiтора безперервноi реестрацii серцевого ритму "Polar" пiд час проходження перешкод мотузкового парку школярами. Також вимiрювалась швидкiсть реакцii до i пiсля проходження перешкод мотузкового парку школярами за програмою "Психодiагностика". У дослiдженнi взяли участь 42 школяра 10-х класiв Харкiвськоi середньоi школи № 140. Дослiдження проводилися на базi мотузкового парку м.Харкова "S-парк". Встановлено, що проходження мотузкових перешкод надае функцiональне навантаження, яке вiдповiдае навантаженню середньоi аеробноi потужностi. Частота серцевих скорочень пiд час проходження перешкод знаходиться в дiапазонi 130-150 уд·хв-1. Проходження мотузкових етапiв мае стимулюючий вплив на функцiональний стан школярiв, про що свiдчить пiдвищення швидкостi складноi реакцii. Заняття в мотузкових парках можуть застосовуватися бiльш широко у системi фiзичного виховання.

Ключовi слова: школярi, рух, туризм, парк, вiдчуття, екстремальнiсть, мотузки, перешкоди.

Annotation. Kozina Zh.L., Antonov O.V., Kozin S.V., Grin L.V. Changing the functional state of the pupils of high classes during the passage of obstacles rope park. The influence of training in rope parks on parameters of heart rate and reaction rate high school students. A measurement of heart rate monitor using the continuous recording of heart rate "Polar" during the rope obstacles Park students. Also, the reaction rate was measured before and after passing obstacles rope park students on the program "Psychodiagnostics". In the study involved 42 student of 10th class of the Kharkiv school N140. Research conducted at the park Kharkov "S-Park." Found that the passage of rope barriers provides functional load, which corresponds to the average load of aerobic capacity. Heart rate during the obstacle is in the range 130-150 beats•min-1. Passing the rope stages has stimulating effect on the functional status of school children, as evidenced by the increasing speed of complex reactions. Classes in rope parks can be used more widely in the system of physical education.

Keywords: students, traffic, tourism, the park, feeling ekstremalnist, ropes, barriers.

Введение.

Движение - это основа жизни, оно нужно всем. Двигательная активность способствует правильному формированию человека на любом этапе жизни, и особенно - в самом ее начале. Особое значение для здоровья имеет двигательная активность в природных зонах (А.с. 39679 Украина. Компьютерная программа "Психодиагностика" / Козина Ж.Л., Барибина Л.М., Коробейников Г.В., Мищенко Д.И., Цикунов О.А., Козин О.В. - № 39679; заявка от 10.06.2011.) [2, 3]. Природа была и остается источником жизни, здоровья, творчества, физического и духовного развития человека [1, 3].

Восстановление связи с природой с помощью физической культуры и спорта может осуществляться несколькими путями: занятия различными видами оздоровительного и экологического туризма, изучение лекарственных растений и другие.

Для современного человека, привыкшего проводить целый день за компьютером в офисе, уже само длительное нахождение на природе - экстрим. Человек может потерять сознание от дыхания свежим воздухом, насыщенным кислородом, вместо дыма большого города. Для него шок добывать пищу не в супермаркете, а срывать её с дикорастущего куста. От длительного хождения могут заболеть мышцы ног.

Осуществить туристские путешествия для большинства людей достаточно сложно, поскольку любое, даже самое обычное путешествие в природную зону, требует тщательной подготовки с точки зрения приобретения снаряжения, развития необходимых навыков и физических качеств, теоретической подготовки [1].

В этой связи возникает противоречие: с одной стороны, для повышения уровня здоровья, гармонизации психического состояния, для развития физических качеств и восстановления связи с природой человеку необходимы путешествия в природные зоны; с другой стороны, осуществление путешествий в природные зоны требует наличия определенных умений и навыков, развития физических качеств, а, главное, большого количества свободного времени, которого у современного человека становится все меньше.

Одним из решений данного противоречия является создание так называемых веревочных парков - логически связанных комплексов препятствий разной сложности, располагающихся на определенной высоте над землей. Все препятствия верёвочного парка объединены в маршруты в зависимости от их сложности и тематической направленности [http://www.alpinpark.com.ua/ru/pages/prks].

Таким образом, для того, что бы ощутить себя альпинистом, скалолазом, или спелеологом, человеку не обязательно ехать в далекие горы, покупать дорогостоящее снаряжение, и рисковать. Весь спектр ощущений и удовольствий подобного рода можно получить с помощью верёвочного парка.

В настоящее время веревочные парки являются инновационной технологией в области физического воспитания и спорта. Исследование возможностей веревочных парков для повышения уровня двигательной активности и удовлетворения психологических потребностей учащейся молодежи является актуальной задачей современного физического воспитания и спортивной науки.

Исследование проведено согласно плану, утвержденному Министерством образования и науки, молодежи и спорта Украины на 2012-2016 гг по теме 91 "Теоретико-методические основы индивидуализации в физическом воспитании и спорте" (№ государственной регистрации 0112U002001).

Цель, задачи работы, материал и методы.

Цель работы - определение влияния занятий в веревочных парках на функциональное состояние школьников старших классов.

Методы исследования. В работе применялись следующие методы исследования: анализ литературных данных, метод анкетирования, психофизиологические методы исследования по программе "Психодиагностика", метод регистрации частоты сердечных сокращений с помощью монитора сердечного ритма модели "Polar" и программного обеспечения "Polar", методы математической статистики.

Регистрировали следующие показатели: время прохождения этапа, суммарное время работы, ЧСС начальная (перед началом прохождения этапа), ЧСС минимальная, ЧСС средняя и ЧСС максимальная на каждом этапе. Кроме того, данные показатели регистрировались также при выполнении испытуемым тестов по программе "Психодиагностика" до и после прохождения веревочных этапов.

Для решения поставленных задач было проанализировано 25 источников сети интернет и проведено анкетирование 52 посетителей веревочного парка г.Харькова "S-парк" в возрасте от 16 до 19 лет мужского пола.

Были также проведены исследования по определению уровня функциональной нагрузки при прохождении веревочных препятствий и выявлению возможностей данного вида двигательной активности как средства физического воспитания студентов и школьников. Для этого мы провели измерение частоты сердечных сокращений с помощью монитора непрерывной регистрации сердечного ритма "Polar" непосредственно во время прохождения этапов веревочного парка в сочетании с измерением скорости реакции в разных подрежимах до и после прохождения препятствий школьниками старших классов. В данной серии исследований приняли участие 42 школьника 10-х классов Харьковской средней школы № 140. Исследования проводились на базе веревочного парка г.Харькова "S-парк", который находится в парке Артема. Все испытуемые занимались в веревочном парке впервые.

Результаты исследований.

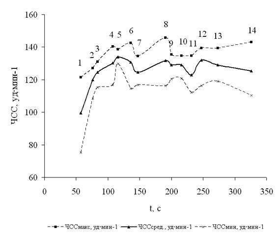
Согласно полученным данным, прохождение веревочных препятствий оказывает функциональную нагрузку, соответствующую нагрузке средней аэробной мощности. Частота сердечных сокращений во время прохождения препятствий находится в диапазоне 130-150 уд·мин-1 (рис. 1). После прохождения веревочных препятствий наблюдается повышение скорости сложной реакции. Это свидетельствует о том, что данный вид двигательной активности может применяться более широко, не только как вариант аттракционов и развлечений, а также в системе физического воспитания. Применение нестандартных упражнений особенно актуально в настоящее время в связи со сложившейся негативной ситуацией в состоянии здоровья школьников и студентов.

Определение функционального состояния школьников проводилось в течение психофизиологического тестирования, в котором регистрировалась скорость реакции при различных режимах. Во время прохождения психофизиологического тестирования проводилась регистрация частоты сердечных сокращений с помощью монитора сердечного ритма "Polar".

Полученные данные свидетельствуют о том, что психофизиологическое тестирование оказывает определенную эмоциональную нагрузку на школьников, поскольку уже до начала тестирования ЧСС составляет 70-91 уд·мин-1, а среднее значение ЧСС составляет 80, 67 уд·мин-1.

Перед прохождением веревочных этапов во время прохождения теста на определение скорости простой зрительно-моторной реакции ЧСС составляет 72-94 уд·мин-1, а среднее значение ЧСС составляет 82, 67 уд·мин-1; во время прохождения теста на определение скорости сложной зрительно-моторной реакции ЧСС составляет 72-98 уд·мин-1, а среднее значение ЧСС составляет 84 уд·мин-1; Во время прохождения теста на определение скорости сложной зрительно-моторной реакции в режиме обратной связи ЧСС составляет 75-100 уд·мин-1, а среднее значение ЧСС составляет 86, 33уд·мин-1. Таким образом, по мере усложнения задачи при проведении психофизиологического тестирования, увеличиваются значения ЧСС, что свидетельствует об увеличении психоэмоционального напряжения при прохождении психофизиологического тестирования.

После прохождения веревочных этапов во время прохождения теста на определение скорости простой зрительно-моторной реакции ЧСС составляет 72-118 уд·мин-1, а среднее значение ЧСС составляет 89, 67 уд·мин-1; во время прохождения теста на определение скорости сложной зрительно-моторной реакции ЧСС составляет 72-95 уд·мин-1, а среднее значение ЧСС составляет 83, 67 уд·мин-1; Во время прохождения теста на определение скорости сложной зрительно-моторной реакции в режиме обратной связи ЧСС составляет 79-106 уд·мин-1, а среднее значение ЧСС составляет 89, 33уд·мин-1. Таким образом, после прохождения веревочных этапов наблюдается тенденция к увеличению ЧСС при прохождении психофизиологического тестирования, что связано с воздействие физической нагрузки на организм. Так же, как и до прохождения веревочных этапов, по мере усложнения задачи при проведении психофизиологического тестирования, увеличиваются значения ЧСС, что свидетельствует об увеличении психоэмоционального напряжения при прохождении психофизиологического тестирования. Исключение составляет ЧСС при прохождении теста на определение скорости сложной реакции, значение которой практически идентично таковому до прохождения тестирования.

При подготовке к прохождению веревочных этапов ЧСС составляет 75-121 уд·мин-1 (рис. 1), а среднее значение ЧСС составляет 99, 67 уд·мин-1. При прохождении этапа "Веревочная лестница" ЧСС составляет 108-127 уд·мин-1 (рис. 1), а среднее значение ЧСС составляет 120 уд·мин-1; при переходе на следующий этап ЧСС составляет 115-131 уд·мин-1 (рис. 1), а среднее значение ЧСС составляет 124, 67 уд·мин-1, что свидетельствует о том, что переходы с этапа на этап оказывают функциональную нагрузку на организм (рис. 1). При прохождении этапа "Качающиеся бревна" ЧСС составляет 116-140 уд·мин-1 (рис. 1), а среднее значение ЧСС составляет 130, 33 уд·мин-1; при переходе на следующий этап ЧСС составляет 129-138 уд·мин-1 (рис. 1), а среднее значение ЧСС составляет 134 уд·мин-1, что свидетельствует о том, что переходы с этапа на этап оказывают функциональную нагрузку на организм (рис. 1).

При прохождении этапа "Цирковой канат" ЧСС составляет 114-142 уд·мин-1 (рис. 1), а среднее значение ЧСС составляет 130, 67 уд·мин-1; при переходе на следующий этап ЧСС составляет 116-134 уд·мин-1 (рис. 1), а среднее значение ЧСС составляет 124, 67 уд·мин-1, что свидетельствует о том, что переходы с этапа на этап оказывают функциональную нагрузку на организм (рис. 1).

При прохождении этапа "Обезьяний мостик" ЧСС составляет 116-145 уд·мин-1 (рис. 1), а среднее значение ЧСС составляет 131, 67 уд·мин-1; при переходе на следующий этап ЧСС составляет 120-135 уд·мин-1 (табл. 3.2, рис. 3.9), а среднее значение ЧСС составляет 129 уд·мин-1, что свидетельствует о том, что переходы с этапа на этап оказывают функциональную нагрузку на организм (рис. 1).

При прохождении этапа "Высокие кочки" ЧСС составляет 120-134 уд·мин-1 (табл. 3.2, рис. 3.9), а среднее значение ЧСС составляет 129 уд·мин-1; при переходе на следующий этап ЧСС составляет 112-134 уд·мин-1 (табл. 3.2, рис. 3.9), а среднее значение ЧСС составляет 123 уд·мин-1, что свидетельствует о том, что переходы с этапа на этап оказывают функциональную нагрузку на организм (рис. 1).

При прохождении этапа "Вертикальная сетка" ЧСС составляет 116-139 уд·мин-1 (рис. 1), а среднее значение ЧСС составляет 132 уд·мин-1; при переходе на следующий этап ЧСС составляет 119-139 уд·мин-1 (рис. 1), а среднее значение ЧСС составляет 129 уд·мин-1, что свидетельствует о том, что переходы с этапа на этап оказывают функциональную нагрузку на организм (рис. 1).

При скоростном спуске на троллее ЧСС составляет 110-143 уд·мин-1 (рис. 1), а среднее значение ЧСС составляет 125, 33 уд·мин-1, что свидетельствует о том, что скоростной спуск на троллее вызывает повышение ЧСС, несмотря на то, что при спуске человек находится в положении сидя. Исходя из этого можно заключить, что скоростной спуск ощущается как околоэкстремальный этап, сопровождающийся, по-видимому, выделением адреналина (рис. 1).

Этапы веревочного маршрута:

1 - Подготовка к веревочным этапам;

7-8 - Обезьяний мостик;

1-2 - Веревочная лесенка;

8-9 - Переход с этапа на этап;

2-3 - Переход с этапа на этап;

9-10 - Высокие кочки;

3-4 - Качающиеся бревна;

10-11 - Переход с этапа на этап;

4-5 - Переход с этапа на этап;

11-12 - Вертикальная сетка;

5-6 - Цирковой канат;

12-13 - Переход с этапа на этап;

6-7 - Переход с этапа на этап;

13-14 - Троллей (спуск 9 метров);

Рис. 1. Показатели частоты сердечных сокращений при прохождении веревочных этапов школьниками старших классов (n=42):

Полученные данные свидетельствуют о том, что скоростной спуск для школьников старших классов является именно тем психологическим моментом, когда накал эмоций повышен и человек переживает ощущение растворения в мире, как бы выходя за пределы собственных возможностей, о чем свидетельствует повышение ЧСС при прохождении данного этапа (рис. 1).

Таким образом, полученные данные свидетельствуют о том, что занятия в веревочном парке являются нагрузкой умеренной и малой мощности с точки зрения воздействия на сердечно-сосудистую систему. Данный факт особенно актуален в настоящее время, когда дозирование физических нагрузок для школьников старших классов должно проводиться очень бережно в связи с ухудшением их состояния здоровья.

В то же время можно заключить, что прохождение веревочных этапов оказывает стимулирующее влияние на функциональное состояние школьников, о чем свидетельствует повышение скорости сложной реакции и уменьшение времени минимальной экспозиции сигнала в тесте на определение скорости сложной реакции в режиме обратной связи (рис. 2).

После прохождения веревочных этапов наблюдается достоверное снижение времени сложной реакции. Так, до прохождения маршрута данный показатель составил 495 мс, а после прохождения веревочных этапов данный показатель составил 449 мс (р<0, 001) (рис. 2).

После прохождения веревочных этапов наблюдается также достоверное снижение времени сложной реакции, регистрируемой в режиме обратной связи. Так, до прохождения маршрута данный показатель составил 395, 50 мс, а после прохождения веревочных этапов данный показатель составил 371, 75 мс (р<0, 001) (рис. 2).

Минимальное время экспозиции в тесте на определение скорости сложной реакции в режиме обратной связи до прохождения веревочных этапов составило 390 мс, а после прохождения веревочных этапов данный показатель составил 350 мс; изменение достоверно при р<0, 001 (рис. 2).

Таким образом, прохождение веревочных этапов оказывает стимулирующее влияние на функциональное состояние школьников и активизации симпатического отдела вегетативной нервной системы, о чем свидетельствует повышение скорости сложной реакции и уменьшение времени минимальной экспозиции сигнала в тесте на определение скорости сложной реакции в режиме обратной связи. Данный факт имеет особую актуальность в контексте стремления школьников старших классов к стимуляции психоэмоционального состояния в связи с особенностями функционирования их организма на этапе подросткового возраста и юности.

Рис. 3. Показатели скорости реакции при различных режимах регистрации до и после нагрузки на веревочных этапах (n=42):

* - р<0, 001;

1 - Простая зрительно-моторной реакция, время, мс;

2 - Сложная зрительно-моторной реакция, время, мс;

3 - Сложная зрительно-моторной реакция с обратной связью, время, мс;

4 - Сложная зрительно-моторной реакция с обратной связью, минимальное время экспозиции сигнала, мс

Однако наряду с уменьшением латентного периода сложной реакции после прохождения веревочных этапов наблюдалось увеличение количества ошибок в тестах на скорость сложной зрительно-моторной реакции в обычном режиме и в режиме обратной связи. Так, до прохождения веревочных этапов количество ошибок в тесте на сложную зрительно-моторную реакцию в обычном режиме составило 2, 5, а после прохождения веревочных этапов данный показатель составил 12, 0. До прохождения веревочных этапов количество ошибок в тесте на сложную зрительно-моторную реакцию в режиме обратной связи составило 26, 0, а после прохождения веревочных этапов данный показатель составил 58, 25. Полученные данные свидетельствуют о том, что, наряду с активизацией симпатического отдела вегетативной нервной системы, прохождение веревочных этапов оказывает влияние на силу и устойчивость нервной системы, поскольку, по данным Г.В. Коробейникова [4], количество ошибок в тесте на определение сложной реакции в режиме обратной связи косвенно отражает силу и устойчивость нервной системы.

Анализ корреляционных взаимосвязей между показателями времени прохождения этапов веревочного парка, частотой сердечных сокращений, регистрируемых при прохождении маршрута и показателями скорости реакции, свидетельствует о наличие определенных индивидуальных психомоторных особенностей.

Таблица 1

Фрагмент корреляционной матрицы показателей скорости реакции при различных режимах тестирования с частотой сердечных сокращений и затраченным временем при прохождении веревочных этапов (n=42)

Показатели

Веревочная лесенка

Качающиеся бревна

Цирковой канат

Обезьяний мостик

Высокие кочки

Вертикальная сетка

Троллей (спуск 9 метров)

t, с

ЧСС сред., уд·мин-1

t, с

ЧСС сред., уд·мин-1

t, с

ЧСС сред., уд·мин-1

t, с

ЧСС сред., уд·мин-1

t, с

ЧСС сред., уд·мин-1

t, с

ЧСС сред., уд·мин-1

t, с

ЧСС сред., уд·мин-1

Простая зрительно-моторная реакция, время, мс

0.98*

-0.99*

0.74*

-0, 99*

-0.82

-0.92*

0.08

-0.82*

0.16

-0.66*

-0.29

-0.97*

0.15

-0.93*

Сложная зрительно-моторная реакция, время, мс 

0.71*

-0.72*

0.99*

-0.81*

-0, 99*

-0.55*

-0.5

-0.36

0.69*

-0.11

0.31

-0.65*

-0.44

-0.56*

Сложная зрительно-моторная реакция, ошибки, кол-во

0.96*

-0.96*

0.37

-0.91*

-0.5*

-0, 99*

0.5

-0.99*

-0.28

-0.92*

-0.67

-0.98*

0.56*

-0, 99*

Сложная зрительно-моторная реакция с обратной связью, время, мс 

-0.99*

0.99*

-0.5*

0.96*

0.62*

0, 99*

-0.37

0.95*

0.13

0.85*

0.56

0, 99*

-0.43

0, 99*

Сложная зрительно-моторная реакция с обратной связью, ошибки, кол-во

0.99*

-0.99*

0.48*

-0.95*

-0.6*

-0, 99*

0.4

-0.96*

-0.17

-0.87*

-0.58

-0, 99*

0.46

-0, 99*

Сложная зрительно-моторная реакция с обратной связью, мин.вpемя экспозиции сигнала, мс

0.71*

-0.72*

0.99*

-0.81*

-0, 99*

-0.55*

-0.5

-0.36

0.69*

-0.11

0.31

-0.65*

-0.44*

-0.56*

Примечание. * - взаимосвязь достоверна при р<0, 05

Увеличение времени прохождения веревочных этапов сопровождается увеличением времени простой и сложной реакции (r=0, 56-0, 99 при р<0, 05) (табл. 1). Исключение составляет взаимосвязь времени реакции, регистрируемом в режиме обратной связи, и времени прохождения этапов "Веревочная лестница" и "Качающиеся бревна" (r=(-0, 5)-(-0, 96) при р<0, 05) (табл. 1), что можно объяснить излишним эмоциональным волнением при прохождении данных этапов.

Увеличение ЧСС при прохождении веревочных этапов сопровождается уменьшением времени простой и сложной реакции (r=0, 65-0, 99 при р<0, 05) (табл. 1), что можно объяснить влиянием активизации симпатического отдела вегетативной нервной системы на повышение скорости реакции. Исключение составляет взаимосвязь времени реакции, регистрируемом в режиме обратной связи, и ЧСС при прохождении этапов "Веревочная лестница" и "Качающиеся бревна" (r=(-0, 5)-(-0, 96) при р<0, 05) (табл. 1), что можно объяснить необходимостью к сосредоточению при прохождении данных этапов.

Увеличение количества ошибок в тестах на определение скорости сложной реакции при увеличении времени прохождения веревочных этапов (r=0, 65-0, 99 при р<0, 05) и уменьшении ЧСС (r=(-0, 5)-(-0, 96) при р<0, 05) свидетельствует о наличие индивидуальных особенностей психомоторного развития, которые определяют комплекс показателей психомоторной сферы - от индивидуальной комфортной скорости движения до скорости реакции.

С точки зрения наличия индивидуальных психомоторных особенностей занятия в веревочном парке могут проводиться в индивидуально комфортном режиме для каждого школьника, и таким образом создавать оптимальные условия для развития функциональных и психомоторных возможностей.

Для оценки скорости прохождения маршрута веревочного парка была построена специальная шкала.

Согласно полученным данным, среднее время прохождения маршрута школьниками старших классов составляет 325 с, среднее квадратическое отклонение составляет 25 с. Согласно данным показателям, получаем: низкая оценка - 375 с, удовлетворительная - 350 с, средняя - 325 с, хорошая - 300 с, отличная - 275 с. Однако, следует заметить, что данная шкала весьма условна, и каждый школьник оценивается по факту прохождения этапов маршрута, а не по времени.

Выводы.

1. Прохождение веревочных препятствий оказывает функциональную нагрузку, соответствующую нагрузке средней аэробной мощности. Частота сердечных сокращений во время прохождения препятствий находится в диапазоне 130-150 уд·мин-1. Наивысшие значения получены при прохождении этапа "Обезьяний мостик": ЧСС составляет 116-145 уд·мин-1, а среднее значение ЧСС составляет 131, 67 уд·мин-1. При скоростном спуске на троллее ЧСС составляет 110-143 уд·мин-1, а среднее значение ЧСС составляет 125, 33 уд·мин-1.

2. Психофизиологическое тестирование оказывает определенную эмоциональную нагрузку на школьников, поскольку уже до начала тестирования ЧСС составляет 70-91 уд·мин-1, а среднее значение ЧСС составляет 80, 67 уд·мин-1. После прохождения веревочных этапов наблюдается тенденция к увеличению ЧСС при прохождении психофизиологического тестирования, что связано с воздействие физической нагрузки на организм.

3. Прохождение веревочных этапов оказывает стимулирующее влияние на функциональное состояние школьников, о чем свидетельствует повышение скорости сложной реакции и уменьшение времени минимальной экспозиции сигнала в тесте на определение скорости сложной реакции в режиме обратной связи.

4. Увеличение времени прохождения веревочных этапов сопровождается увеличением времени простой и сложной реакции (r=0, 56-0, 99 при р<0, 05). Исключение составляет взаимосвязь времени реакции, регистрируемом в режиме обратной связи, и времени прохождения этапов "Веревочная лестница" и "Качающиеся бревна" (r=(-0, 5)-(-0, 96) при р<0, 05), что можно объяснить излишним эмоциональным волнением при прохождении данных этапов.

5. Занятия в веревочных парках могут применяться более широко, не только как вариант аттракционов и развлечений, а также в системе физического воспитания. Применение нестандартных упражнений особенно актуально в настоящее время в связи со сложившейся негативной ситуацией в состоянии здоровья школьников и студентов.

В перспективе предполагается определение кумулятивного эффекта нагрузок при занятиях в веревочных парках.

Литература:

1. Булашев А.Я., Каплина Л.И. Туристско-географическое районирование Украины // Педагогика, психология и медико-биологические проблемы физического воспитания и спорта. - 2009. - N 4. - С. 11-16.

2. Васильев Ю.К., Козина Ж.Л., Козин А.В. Развитие экологической культуры студентов на занятиях по туризму // Физическое воспитание студентов творческих специальностей. - 2009. - №4. С. 37-46.

3. Ермаков С.С. Педагогические условия обеспечения занятий со студентами с ослабленным здоровьем // Физическое воспитание студентов творческих специальностей. - 2003. - N 1. - С. 66-71.

4. Козина Ж.Л., Козин С.В., Антонов О.В., Гринь Л.В. Веревочные парки как средство повышения двигательной активности учащейся молодежи // Физическое воспитание студентов. - 2011. - №. 6. - С.40-45.

5. Коробейников Г.В. Психофизиологическая организация деятельтности человека: монография. - Белая церковь, 2008. - 128 с.

Информация об авторах:

Козина Жаннета Леонидовна
zhaks_k@mail.ru
Харьковский национальный педагогический университет
ул. Артема 29, г. Харьков, 61002, Украина.

Антонов Олег Владимирович
zhaks_k@mail.ru
Харьковский национальный педагогический университет
ул. Артема 29, г. Харьков, 61002, Украина.

Козин Сергей Валентинович
zhaks_k@mail.ru
Харьковский радиотехнический техникум
ул. Сумская 26, Харьков, 61000, Украина.

Гринь Леонид Васильевич
zhaks_k@mail.ru
Харьковский национальный технический университет сельского хозяйства имени Петра Василенко
ул. Артема 44, Харьков, 61000, Украина.

Поступила в редакцию 23.03.2012г.

Information about the authors:

Kozina Zh.L.
zhaks_k@mail.ru
Kharkov National Pedagogical University
Artema str. 29, Kharkov, 61002, Ukraine.

Antonov O.V.
zhaks_k@mail.ru
Kharkov National Pedagogical University
Artema str. 29, Kharkov, 61002, Ukraine.

Kozin S.V.
zhaks_k@mail.ru
Kharkiv Radio Engineering College
Sumskaya str. 26, Kharkov, 61000, Ukraine.

Grin L.V.
zhaks_k@mail.ru
Kharkov National Technical University Of Agriculture
Artema str. 44, Kharkov, 61000, Ukraine.

Came to edition 23.03.2012.


 Home На главную   Library В библиотеку   Forum Обсудить в форуме 

При любом использовании данного материала ссылка на первоисточник обязательна!