РАСЧЕТ ПАРАМЕТРОВ ТРАЕКТОРИИ ДЛИННОЙ ПЕРЕДАЧИ МЯЧА В БАСКЕТБОЛЕ

Чарикова Е.Н., Сенченко К.Е.

Харьковская государственная академия физической культуры

Аннотация. В статье представлены значения параметров траектории полета мяча в зависимости от дистанции длинной передачи, угла вылета мяча и высоты точки бросания. Рассчитаны координаты установки ориентиров для обучения длинной передаче с оптимальной траекторией полета мяча. Определены требования к конструкции тренажеров.

Ключевые слова: траектория, координаты, параметры, ориентир, тренажер.

Анотацiя. Чарiкова К.М., Сенченко К.Е. Розрахунки параметрiв траекторii довгоi передачi м'яча у баскетболi. У статтi представленi значення параметрiв траекторii польоту м'яча залежно вiд дистанцii довгоi передачi, кута вильоту м'яча та висоти точки кидання. Розраховано координати установки орiентирiв для навчання довгiй передачi з оптимальною траекторiею польоту м'яча. Визначено вимоги до конструкцii тренажерiв.

Ключовi слова: траекторiя, координати, параметри, орiентир, тренажер.

Annotation. Charikova K.M., Senchenko K.E. Calculation of trajectory parameters of long pass in basketball. Values of a ball’s flight trajectory parameters depending on a distance of long pass, a corner of a ball’s start and height of a throwing point are submitted in article. Coordinates of reference points installation for training to long pass with an optimum trajectory of a ball’s flight are designed. Requirements to simulators design are determined. Corners of ball’s long pass performance in various game situations are recommended.

Key words: a trajectory, coordinates, parameters, a reference point, a simulator.

Введение

К числу факторов, влияющих на точность длинной передачи мяча в баскетболе, специалисты игры относят траекторию полета мяча [1, 3, 4, 6], считая при этом, что оптимальной следует считать передачу со средней траекторией [2, 8, 9, 10]. Тем не менее, отдельные авторы обосновывают целесообразность выполнения длинной передачи мяча с высокой траекторией [11]. В то же время многие тренеры указывают, что при выполнении длинной передачи с высокой траектории полета мяча возрастает вероятность ее перехвата соперником [4, 8]. Следует отметить, что в литературе по баскетболу не приводятся конкретные рекомендации по углу вылета мяча. Анализ литературы по гандболу, спортивной игре, в которой спортсмены намного чаще баскетболистов пользуются данным элементом техники и с высокой точностью передают мяч в различные зоны площадки, эти сведений также не содержатся [5, 7].

Таким образом, анализ литературы показал, что в доступных нам литературных источниках отсутствуют расчеты параметров траектории длинной передачи мяча и обоснованные рекомендации по выбору оптимальной траектории, как в баскетболе, так и в сопутствующих игровых видах спорта.

Исследование выполнялось согласно Сводного плана научно - исследовательской работы Министерства образования и науки, молодежи и спорта Украины на 2011- 2015 г.г. по теме 2.4. "Теоретико-методические основы индивидуализации учебно-тренировочного процесса спортсменов в игровых видах спорта ".

Цель, задачи работы, материал и методы.

Цель статьи - расчет параметров траектории длинной передачи мяча в баскетболе.

Результаты исследования.

Путь мяча, который бросает баскетболист при выполнении длинной передачи, можно разделить на две части. Первая включает путь, который описывает мяч, находясь в руках игрока, вторая часть - это полет мяча в воздухе от момента вылета его из рук спортсмена до ловли его партнером по команде. Первая часть - траектория разгона мяча, вторая - траектория его полета.

При длинной передаче мяча в баскетболе для каждой точки ее выполнения существует множество траекторий, обеспечивающих попадание мяча в заданную область. Эти траектории отличаются друг от друга углом вылета и соответствующей ему величиной начальной скорости полета мяча.

Рис 1. Параметры траектории полета мяча при выполнении длинной передачи

На рис. 1 представлены схемы траекторий полета мяча при передаче игроку, ловящему мяч в высоком прыжке на уровне баскетбольной корзины (305 см) и на уровне груди (165 см).

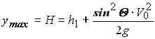
Параметры траектории полета мяча при выполнении длинной передачи: дистанция, на которую выполняется передача (L), высота точки вылета мяча (h1), высота точки ловли мяча (h0, h3 ), угол вылета (Q ), начальная скорость вылета (Vo), высота максимальной точки траектории передачи (H) и расстояние от передающего игрока до проекции этой точки на площадку (S).

Последние два параметра используются в тренировочном процессе при применении ориентиров, которые помогают игрокам выполнять длинные передачи с различными углами вылета мяча и обеспечить формирование навыка длинной передачи в определенном диапазоне углов его вылета.

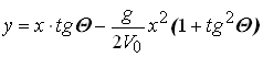
Для определения места установки ориентира S и его высоты H при выполнении длинной передачи, в которой мяч будет ловиться в прыжке на высоте баскетбольной корзины, воспользуемся известными из механики уравнениями движения тела, брошенного под углом к горизонту:

,

где V0 - скорость вылета мяча,

Q - угол между горизонтальной плоскостью и вектором скорости мяча,

g - ускорение силы тяжести (гравитационная постоянная);

t - время.

Исключая из этой системы уравнений время t, найдем уравнение траектории:

Подставим в это уравнение ,

где h0 - высота кольца,

h1 - высота точки бросания,

L - расстояние от точки бросания до точки приема мяча на высоте кольца.

И далее при заданном угле вылета мяча определим значение его начальной скорости V0.

Зная начальную скорость V0.и, задавая угол вылета в диапазоне 30° - 50°, вычислим значения координат тренажера S и H.

Для определения скорости вылета мяча V0 при длинной передаче, которую игрок принимает стоя на площадке, воспользуемся формулой дальности полета спортивного снаряда [В. Н. Тутевич].

где

Скорость V0 вычислим с помощью программы Microsoft Excel, задавая значения L, , , и используя встроенную функцию подбора параметра.

Координаты установки ориентира находим с помощью уравнений, определяющих положение наивысшей точки траектории снаряда.

Представляем таблицы значений Vo, S, H при выполнении длинной передачи мяча.

Таблица 1

Значения Vo, S, H при выполнении передачи мяча с расстояния 20, 25, 28 м в диапазоне углов вылета мяча 30 - 50°, высоте точки бросания 200, 210, 220, 230 см. и ловле мяча на уровне баскетбольной корзины (305 см).

L=20м, h1=2м, h0=3,05м

 V0 S H
30 15,78 11,00 5,18
35 15,02 10,81 5,78
40 14,57 10,67 6,48
45 14,38 10,55 7,28
50 14,43 10,46 8,23

 

L=25м, h1=2м, h0=3,05м

 V0 S H
30 17,47 13,48 5,89
35 16,65 13,30 6,66
40 16,18 13,16 7,52
45 15,99 13,05 8,52
50 16,06 12,96 9,72

L=28м, h1=2м, h0=3,05м

 V0 S H
30 18,41 14,97 6,32
35 17,57 14,79 7,18
40 17,08 14,65 8,15
45 16,88 14,55 9,27
50 16,96 14,45 10,61

L=20м, h1=2,1м, h0=3,05м

 V0 S H
30 15,70 10,90 5,25
35 14,96 10,73 5,86
40 14,52 10,60 6,55
45 14,34 10,50 7,35
50 14,40 10,42 8,31
 

L=25м, h1=2,1м, h0=3,05м

 V0 S H
30 17,40 13,38 5,96
35 16,60 13,22 6,73
40 16,14 13,09 7,59
45 15,96 12,99 8,60
50 16,03 12,91 9,79

L=28м, h1=2,1м, h0=3,05м

 V0 S H
30 18,35 14,87 6,39
35 17,52 14,71 7,25
40 17,04 14,59 8,22
45 16,85 14,49 9,35
50 16,94 14,41 10,69

L=20м, h1=2,2м, h0=3,05м

V0 S H
30 15,63 10,79 5,32
35 14,90 10,65 5,93
40 14,48 10,53 6,62
45 14,31 10,44 7,42
50 14,37 10,37 8,38
 

L=25м, h1=2,2м, h0=3,05м

 V0 S H
30 17,34 13,28 6,03
35 16,55 13,14 6,80
40 16,10 13,03 7,67
45 15,93 12,94 8,67
50 16,00 12,87 9,87

L=28м, h1=2,2м, h0=3,05м

 V0 S H
30 18,29 14,78 6,47
35 17,47 14,63 7,32
40 17,00 14,53 8,29
45 16,82 14,44 9,42
50 16,91 14,37 10,76

L 20м, h1=2,3м, h0=3,05м

 V0 S H
30 15,56 10,69 5,39
35 14,85 10,57 6,00
40 14,43 10,47 6,69
45 14,27 10,39 7,49
50 14,33 10,32 8,45
 

L=25м, h1=2,3м, h0=3,05м

 V0 S H
30 17,27 13,19 6,11
35 16,50 13,06 6,87
40 16,06 12,96 7,74
45 15,89 12,89 8,74
50 15,98 12,82 9,94

L=28м, h1=2,3м, h0=3,05м

 V0 S H
30 18,23 14,68 6,54
35 17,42 14,56 7,40
40 16,97 14,46 8,37
45 16,79 14,39 9,49
50 16,88 14,32 10,83

Таблица 2

Значения Vo, S, H при выполнении передачи мяча с расстояния 20, 25, 28 м в диапазоне углов вылета мяча 30 - 50°, высоте точки бросания 200, 210, 220, 230 см. и ловле мяча на уровне груди игрока (165 см).

L=20м, h1=2м, h3=1,6м

 V0 S H
30 14,79 9,67 4,79
35 14,24 9,72 5,40
40 13,94 9,77 6,10
45 13,86 9,80 6,90
50 13,99 9,83 7,86
 

L=25м, h1=2м, h3=1,6м

 V0 S H
30 16,59 12,16 5,51
35 15,97 12,22 6,28
40 15,62 12,27 7,15
45 15,53 12,30 8,15
50 15,67 12,33 9,35

L=28м, h1=2м, h3=1,6м

 V0 S H
 30 17,58 13,66 5,94
35 16,92 13,72 6,80
40 16,55 13,77 7,78
45 16,45 13,80 8,90
50 16,59 13,83 10,24

L=20м, h1=2,1м, h3=1,6м

 V0 S H
30 14,73 9,58 4,87
35 14,19 9,66 5,48
40 13,90 9,71 6,17
45 13,83 9,76 6,98
50 13,96 9,79 7,94
 

L=25м, h1=2,1м, h3=1,6м

 V0 S H
30 16,54 12,08 5,59
35 15,92 12,15 6,35
40 15,59 12,21 7,22
45 15,50 12,25 8,23
50 15,64 12,29 9,43

L=28м, h1=2,1м, h3=1,6м

 V0 S H
30 17,53 13,58 6,02
35 16,87 13,65 6,88
40 16,52 13,71 7,85
45 16,42 13,75 8,98
50 16,57 13,79 10,32

L=20м, h1=2,2м, h3=1,6м

 V0 S H
30 14,67 9,51 4,94
35 14,14 9,59 5,56
40 13,86 9,65 6,25
45 13,79 9,71 7,05
50 13,93 9,75 8,01
 

L=25м, h1=2,2м, h3=1,6м

 V0 S H
30 16,48 12,00 5,66
35 15,88 12,09 6,43
40 15,55 12,15 7,30
45 15,47 12,21 8,30
50 15,62 12,25 9,50

L=28м, h1=2,2м, h3=1,6м

 V0 S H
30 17,48 13,50 6,10
35 16,83 13,58 6,96
40 16,48 13,65 7,93
45 16,39 13,71 9,05
50 16,54 13,75 10,39

L=20м, h1=2,3м, h3=1,6м

 V0 S H
30 14,61 9,43 5,02
35 14,09 9,52 5,63
40 13,82 9,60 6,33
45 13,76 9,66 7,13
50 13,90 9,71 8,09
 

L=25м, h1=2,3м, h3=1,6м

 V0 S H
30 16,43 11,92 5,74
35 15,83 12,02 6,51
40 15,52 12,10 7,38
45 15,44 12,16 8,38
50 15,59 12,21 9,58

L=28м, h1=2,3м, h3=1,6м

 V0 S H
30 17,43 13,42 6,17
35 16,79 13,52 7,03
40 16,45 13,59 8,00
45 16,36 13,66 9,13
50 16,52 13,71 10,47

Выводы

1. Проведен анализ научной и методической литературы по проблеме обоснования оптимального угла длинной передачи мяча в баскетболе.

2. Выполнены расчеты параметров траектории Vo, S, H при выполнении длинной передачи мяча с расстояния 20, 25, 28 м в диапазоне углов вылета мяча 30 - 50°, высоте точки бросания 200, 210, 220, 230 см. и ловле мяча на уровне баскетбольной корзины (305 см) и груди баскетболиста (165 см).

3. Определены требования к параметрам тренажеров для применения в процессе формирования и совершенствования навыка длинной передачи мяча способом согнутой рукой сверху с замахом.

На следующем этапе исследования планируется разработка методики применения ориентиров в процессе формировании навыка длинной передачи с оптимальным углом вылета мяча, а также конструирование тренажеров для обучения и совершенствования данной передачи.

Литература

1. Бабушкин В. З. Подготовка юных баскетболистов / В. З. Бабушкин. - К.: Здоров’я, 1985. - 144 с.

2. Белаш В. В. Методическое пособие по баскетболу / В. В. Белаш. - Одесса: ВМВ, 2004. - С. 78.

3. Вальтин А. И. Проблемы современного баскетбола / А. И. Вальтин - К.: Друк. концерну Iн Юре, 2003. - С. 102 - 105.

4. Вуден Д. Современный баскетбол: пер. с англ. / Д. Вуден. - М.: Физкультура и спорт, 1987. - С. 42 - 50.

5. Гандбол / [Л. А. Латышкевич, Ф. Л. Лебедь, А. А. Основа, В.Г. Ткачук]. - К. : Рад. шк., 1989. - 128 с.

6. Зельдович Т.А. Подготовка юных баскетболистов / Т.А. Зельдович, С.А. Кераминас, - М.: Физкультура и спорт, 1964. - С. 93 - 102.

7. Игнатьева В. Я. Гандбол: учебник для физкультурных вузов / В. Я. Игнатьева, Ю. М. Портнов. - М.: ФОН, 1996. - 314 с.

8. Коузи Б. Баскетбол: концепции и анализ: пер. с англ / Б. Коузи, Ф. Пауэр. - М.: Физкультура и спорт, 1975. - С. 28 - 39.

9. Краузе, Джерри В. Баскетбол - навыки и упражнения: пер. с англ. / Джерри В. Краузе, Дон Мейер, Джерри Мейер. - М.: АСТ; Астраль, 2006. - С. 47 - 50.

10. Линдеберг Ф. Баскетбол: игра и обучение: пер. с англ. / Ф. Линдеберг. - М.: Физкультура и спорт, 1971. - С. 154 - 160.

11. Поплавский Л. Ю. Баскетбол: пiдручник для студентiв вищих навчальних закладiв фiзичного виховання i спорту / Л. Ю. Поплавский. - Киiв: Олiмпiйська лiтература, 2004. - С. 146 - 151.

Поступила в редакцию 30.06.2011г.

Чарикова Екатерина Николаевна
Сенченко Константин Евгениевич
vkudimov@mail.ru


 Home На главную   Library В библиотеку   Forum Обсудить в форуме 

При любом использовании данного материала ссылка на первоисточник обязательна!