ТОЧНОСТЬ ИЗМЕРЕНИЯ ВРЕМЕНИ ВОЗБУЖДЕНИЯ ЗРИТЕЛЬНОГО АНАЛИЗАТОРА

Роженцов В.В., *Полевщиков М.М.

ГОУВПО "Марийский государственный технический университет"

*ГОУВПО "Марийский государственный университет"

Аннотация. Целью исследования явилась разработка способа повышения точности измерения времени возбуждения зрительного анализатора, позволяющего повысить достоверность определения уровня физической работоспособности. Измерения времени возбуждения выполняли до окончания переходного режима, затем в квазистационарном режиме проводили заданное количество измерений. Оценку времени возбуждения вычисляли как среднеарифметическое значение по результатам измерений, полученных в квазистационарном режиме. Показана возможность увеличения точности измерения времени возбуждения зрительного анализатора человека.

Ключевые слова: зрительный анализатор, время возбуждения, измерение, точность.

Анотацiя. Роженцов В.В., Полевщиков М.М. Точнiсть вимiру часу збудження зорового аналiзатору. Метою дослiдження була розробка засобу пiдвищення точностi вимiру часу збудження зорового аналiзатору, що дозволяе пiдвищити достовiрнiсть визначення рiвня фiзичноi працездатностi. Вимiри часу збудження виконувалися до скiнчення перехiдного режиму, далi у квазiстацiонарному режимi проводили певну кiлькiсть вимiрiв. Оцiнку часу збудження вираховували як середне арифметичне значення за результатами вимiрiв, якi було отримано у квазiстацiонарному режимi. Показано можливiсть збiльшення точностi вимiру часу збудження зорового аналiзатора людини.

Ключовi слова: зоровий аналiзатор, час збудження, вимiр, точнiсть.

Annotation. Rozhentsov V.V., Polevschikov M.M. The accuracy of measuring the time of excitation of the visual analyzer. The study was undertaken to develop a method to improve the accuracy of time measurement of excitation of the visual analyzer, which allows to increase reliability of determining the level of physical performance. Measurements of the excitation time served before the end of the transitional regime, then in the quasi-mode conducted a specified number of measurements. Estimate the excitation time was calculated as the average value of measurements obtained in the quasi-mode. The possibility of increasing the accuracy of the excitation time of the visual analyzer of man. According to the results of experimental studies on the accuracy of the study group increased from 47.5 to 81.4%.

Key words: visual analyzer, the time of excitation, measurement accuracy.

Введение.

При контроле и прогнозировании функционального состояния спортсмена состояние отдельных систем и организма человека в целом исследуется, исходя из признания ведущей роли центральной нервной системы, которая выполняет связующую функцию между организмом и внешней средой и обеспечивает взаимодействие систем в организме [1]. Поэтому при оценке изменения состояния отдельных систем или организма человека предпочтительно в первую очередь исследовать изменения, происходящие в центральной нервной системе.

Информативным способом определения состояния центральной нервной системы является оценка параметров анализаторных (сенсорных) систем, в первую очередь порогов ощущения и различения, которые характеризуют основные свойства анализатора - его возбудимость и чувствительность [2]. Для зрительного анализатора возбудимость определяется путем оценки времени возбуждения, под которым понимается время между моментом воздействия света на сетчатку и моментом возникновения соответствующего зрительного ощущения [3].

В работе [4] авторами предложен способ определения уровня физической работоспособности человека, основанный на измерении времени возбуждения. Учитывая важность оценки физической работоспособности для построения тренировочного процесса, необходимо повышать точность измерения времени возбуждения. Условием точности его определения является получение его значений с малой вариабельностью. Однако в результате адаптации испытуемого к экспериментальным условиям, наличием "этапа врабатывания" [5] и влияния "закона научения", согласно которому процесс формирования навыка развивается по экспоненте [6], присутствует переходной процесс. По окончании переходного процесса наступает квазистационарный режим, в котором наблюдается вариабельность значений времени возбуждения зрительного анализатора человека, обусловленная стохастичностью центральной нервной системы как сложного биологического объекта.

По мнению Н.М. Пейсахова и соавт., стабилизация значений происходит после двух-трех измерений, поэтому они рекомендуют первые три полученные значения считать ориентировочными и при статистическом анализе их не учитывать [7]. Однако переходной процесс сугубо индивидуален, поэтому необходимое число измерений времени возбуждения зрительного анализатора человека до стабилизации его значений для разных испытуемых различно, что подтверждено экспериментально.

Работа выполнена по плану аналитической ведомственной целевой программы "Развитие научного потенциала высшей школы (2009-2011 годы)", финансируемой Министерством образования и науки Российской Федерации. Проект № 2.2.3.3/2048 "Исследование и разработка методов охраны, улучшения здоровья и спортивного долголетия на основе психофизиологических параметров".

Цель, задачи работы, материал и методы.

Целью работы является разработка способа повышения точности измерения времени возбуждения зрительного анализатора, позволяющего повысить достоверность определения уровня физической работоспособности.

Методы и организация исследования. Метод и методика измерения времени возбуждения описаны в работе [4]. При измерении времени возбуждения последовательность парных световых импульсов предъявляли с использованием светодиода желтого цвета диаметром 5 мм с силой света 3 мкд, размещаемого в районе ближней точки ясного видения. Формирование предъявляемых световых импульсов и измерение времени возбуждения выполнялось с использованием ПЭВМ Pentium III.

Измеренное значение времени возбуждения отмечали на плоскости в координатах "время возбуждения - номер измерения" и строили график зависимости значений времени возбуждения зрительного анализатора человека tвв как функции tвв = f(Ni), где Ni - номер i-ого измерения, i = 1, 2, ... , k, k - число измерений, до получения квазистационарного режима, когда переходной процесс закончен.

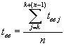
В квазистационарном режиме выполняли заданное количество измерений, после чего вычисляли оценку времени возбуждения зрительного анализатора человека как среднеарифметическое значение по формуле:

, (1)

где tвв j - значение времени возбуждения зрительного анализатора человека в квазистационарном режиме в j-м измерении, мс; j = k, k+1, ... , k + (n - 1); k - номер измерения, соответствующий окончанию переходного процесса (началу квазистационарного режима); n - число измерений времени возбуждения зрительного анализатора человека в квазистационарном режиме.

Результаты исследований.

В обследовании приняло участие 10 предварительно обученных испытуемых в возрасте от 18 до 22 лет с нормальным или скорректированным зрением. Измерения выполнялись бинокулярно в помещении, оборудованном в соответствии с требованиями СНиП 23 - 05 - 95 [8] в первой половине дня с 9 до 12 часов.

В результате измерений для одного из испытуемых получены следующие значения времени возбуждения зрительного анализатора в мс: 11,8; 11,6; 11,0; 10,7; 10,8; 11,0; 10,8; 10,7; 10,8, 11,0; 11,0; 10,8; 10,7, которые представлены в виде графика на рис. 1. По графику определили номер измерения 3, соответствующий окончанию переходного процесса.

Рис. 1. График значений времени зрительного возбуждения первого испытуемого. По горизонтальной оси - номер измерения, по вертикальной оси - значение времени возбуждения, мс. Обозначения величин в тексте.

Оценка времени возбуждения зрительного анализатора tвв испытуемого в квазистационарном режиме, вычисленная по формуле (1), равна 10,9 мс. В соответствии с ГОСТ Р 50779.21 - 2004 [9] стандартное (среднеквадратичное) отклонение измеренных значений времени возбуждения зрительного анализатора испытуемого в квазистационарном режиме равно 0,126 Гц.

При исключении из статистического анализа первых трех измерений среднеарифметическое значение равно 10,8 мс, стандартное отклонение - 0,125 мс. Различие в значениях среднеарифметического значения и стандартного отклонения, полученных в квазистационарном режиме и при исключении из статистического анализа первых трех измерений, статистически недостоверны.

Для другого испытуемого получены следующие значения времени возбуждения зрительного анализатора в мс: 15,5; 14,7; 14,5; 14,6; 13,6; 13,3; 13,5; 13,2; 13,5; 13,6; 13,5; 13,2; 13,4; 13,5, которые представлены в виде графика на рис. 2. По графику определили номер измерения 5 соответствующий окончанию переходного процесса.

Рис. 2. График значений времени зрительного возбуждения второго испытуемого. По горизонтальной оси - номер измерения, по вертикальной оси - значение времени возбуждения, мс. Обозначения величин в тексте.

Оценка времени возбуждения зрительного анализатора tвв испытуемого в квазистационарном режиме, вычисленная по формуле (1), равна 13,4 мс, стандартное отклонение измеренных значений времени возбуждения зрительного анализатора испытуемого - 0,149 мс.

При условии обработки первых 13 измерений и исключении из статистического анализа первых трех измерений среднеарифметическое значение времени возбуждения зрительного анализатора испытуемого равно 13,5 мс, стандартное отклонение - 0,401 мс.

Уменьшение случайной составляющей погрешности измерений (стандартное отклонение) при вычислении времени возбуждения зрительного анализатора испытуемого по предложенному способу по сравнению с вычислениями, когда обрабатываются первые 13 измерений и из статистического анализа исключены первые три измерения, составило 62,8%.

Уменьшение случайной составляющей погрешности измерений по обследованной группе получено у 9 испытуемых, которое составило от 47,5 до 81,4%.

Время переходного процесса определяется временем, после которого имеет место неравенство [10]:

| tво i - tво 0 | ≤ ∆/2,

где tво i - значение времени ощущения зрительного анализатора человека в i-ом измерении, i = 1, 2, ... , k, k - число измерений во время переходного процесса; tво 0 - среднее значение времени ощущения зрительного анализатора человека в квазистационарном режиме; ∆ = (tво max - tво min) - вариационный размах значений времени ощущения зрительного анализатора человека в квазистационарном режиме; tво max - максимальное значение времени ощущения зрительного анализатора человека в квазистационарном режиме; tво min - минимальное значение времени ощущения зрительного анализатора человека в квазистационарном режиме.

Выводы.

1. Постоянный и достоверный контроль за физической работоспособностью позволяет объективно регулировать физическую нагрузку и обеспечит получение положительного тренировочного эффекта.

2. Предложен способ повышения точности измерения времени возбуждения зрительного анализатора.

3. По результатам экспериментальных исследований установлено, что по обследованной группе из 10 испытуемых предложенный способ позволил увеличить точность измерения времени возбуждения зрительного анализатора у 9 испытуемых в пределах от 47,5 до 81,4%.

Целью и задачами планируемых дальнейших исследований является разработка психофизиологических методов, позволяющих:

- исследовать индивидуальную адаптацию организма человека к физическим нагрузкам;

- индивидуализировать нагрузку при занятиях физической культурой и спортом;

- разработать мероприятия по охране, улучшению здоровья и спортивного долголетия.

Литература:

1. Маслов, Н.Б. Нейрофизиологическая картина генеза утомления, хронического утомления и переутомления человека-оператора / Н.Б. Маслов, И.А. Блощинский, В.Н. Максименко // Физиология человека. - 2003. - Т. 29, № 5. - С. 123-133.

2. Горшков, С.И. Методики исследований в физиологии труда / С.И. Горшков, З.М. Золина, Ю.В. Мойкин. - М.: Медицина, 1974. - 311 с.

3. Кравков, С.В. Глаз и его работа. Психофизиология зрения, гигиена освещения. - 4-е изд., перераб. и доп. / С.В. Кравков. - М.-Л.: Изд-во АН СССР, 1950. - 531 с.

4. Полевщиков, М.М. Тестирование спортсменов для определения уровня физической работоспособности на основе психофизиологических параметров / М.М. Полевщиков, В.В. Роженцов, Н.П. Шабрукова и др. // Физическое воспитание студентов. - 2010. - № 3. - С. 69-71.

5. Приборы и комплексы для психофизиологических исследований. Исследования, разработка, применение / Под ред. В.А. Викторова, Е.В. Матвеева. - М.: ЗАО "ВНИИМП-ВИТА", 2002. - 228 с.

6. Ткачук, В.Г. Вариативность физиологических показателей в механизме адаптации биосистем / В.Г. Ткачук, Б. Петрович // VII Междунар. науч. конгресс "Современный олимпийский спорт и спорт для всех": Матер. конф. - Т. 2. - М.: СпортАкадемПресс, 2003. - С. 182-183.

7. Методы и портативная аппаратура для исследования индивидуально-психологических различий человека / Н.М. Пейсахов, А.П. Кашин, Г.Г. Баранов и др.; под ред. В.М. Шадрина. - Казань: Изд-во Казанск. ун-та, 1976. - 238 с.

8. СНиП 23 - 05 - 95. Естественное и искусственное освещение. Строительные нормы и правила Российской Федерации. - М.: Изд - во стандартов, 1995. - 30 с.

9. ГОСТ Р 50779.21 - 2004. Правила определения и методы расчета статистических характеристик по выборочным данным. - Ч. 1: Нормальное распределение. - М.: Изд - во стандартов, 2004. - 43 с.

10. Солодовников, В.В. Основы теории и элементы систем автоматического регулирования / В.В. Солодовников, В.Н. Плотников, А.В. Яковлев. - М.: Машиностроение, 1985. - 535 с.

Поступила в редакцию 17.02.2011 г.

Роженцов Валерий Витальевич

VRozhentsov@mail.ru

Полевщиков Михаил Михайлович

mmpol@yandex.ru


 Home На главную   Library В библиотеку   Forum Обсудить в форуме 

При любом использовании данного материала ссылка на первоисточник обязательна!