ДЕТСКИЙ ТРЕНЕР
(журнал в журнале)


НАЗАД

СОДЕРЖАНИЕ



МОРФОФУНКЦИОНАЛЬНЫЙ МОНИТОРИНГ МОЛОДЫХ СПОРТСМЕНОВ КАК КРИТЕРИЙ ОПТИМИЗАЦИИ ТРЕНИРОВОЧНОГО ПРОЦЕССА В ПРЫЖКАХ В ВОДУ

Доктор педагогических наук, доцент Е.А. Распопова
Кандидат биологических наук Т.В. Панасюк
Кандидат педагогических наук Н.Е. Шовгеня

Российский государственный университет физической культуры, спорта и туризма, Москва

Введение. В сложнокоординационных видах спорта (с возрастом начала занятий в 6-8 лет) становление спортивного мастерства приходится на возраст 13-18 лет, который характеризуется бурным физическим развитием, подразумевающим также процесс биологического (полового) созревания. В прыжках в воду этот период совпадает с этапами спортивного совершенствования и высшего спортивного мастерства, причем рост спортивных достижений в это время происходит неравномерно. Нередко спортсмены, считающиеся ближайшим резервом сборной команды, снижают свои спортивные результаты и часто заканчивают занятия данным видом спорта.

Ранее проведенные исследования установили, что рост спортивных достижений юных прыгунов в воду обусловлен рядом факторов, из которых одним из наиболее значимых является физическое развитие [3, 4]. Однако работ, направленных на определение особенностей становления спортивного мастерства прыгунов в воду 13-18 лет, крайне мало [3 - 6], а рассмотрения динамики спортивных достижений во взаимосвязи с темпами физического (биологического) развития ранее не проводилось. Поэтому выявление закономерностей становления спортивного мастерства у спортсменов высокой квалификации с учетом темпов их биологического развития в настоящее время остается актуальным.

Организация и методы исследования . Исследование проводилось на основе лонгитудинального наблюдения за спортсменами высокого класса в возрастном диапазоне 13 - 18 лет и прыгунами в воду экстра-класса с 13 лет и до завершения ими спортивной карьеры. Спортсмены высокого класса имели квалификацию от I разряда до МСМК. Всего было проведено 147 человеко-измерений у девушек и 163 - у юношей, в том числе у 8 спортсменов экстра-класса.

Все спортсмены проходили антропологическое обследование, включающее оценку биологического возраста по показателям полового созревания [1, 2] и анкетирование об особенностях прохождения ими различных этапов спортивной деятельности. Был проведен анализ результатов соревнований, в которых участвовали спортсмены на протяжении всего исследуемого периода, во взаимосвязи с морфофункциональными показателями.

Результаты исследования и их обсуждения. Изучение динамики спортивных достижений прыгунов в воду высокого класса с 13 до 18 лет показало, что данный период характеризуется увеличением сложности прыжков, причем усложнение программы прыжков с трамплина происходит равномерно, а с вышки скачкообразно. При этом существуют половые различия в росте сложности прыжков.

Так у женщин основной скачок сложности прыжков происходит с 14 до 15 лет, после чего соревновательные программы несколько упрощаются стабилизируются к 18 годам. У мужчин же выявлены два скачка сложности: первый - в 13 лет, второй - в 16 - 17 лет, после чего сложность увеличивается постепенно. Мы предположили, что динамика спортивных достижений прыгунов в воду связана с особенностями онтогенеза спортсменов, что оказывает различное влияние на рост спортивных достижений в прыжках с трамплина и вышки, при этом существуют ярко выраженные половые особенности.

Исследования показали, что вторичные половые признаки у прыгуний в воду формируются в обычной для девушек последовательности. Спортсменки, специализирующиеся в прыжках с вышки, более ретардированны, чем их сверстницы, выступающие с трамплина: возраст 13 лет можно считать средним возрастом появления первого балла всех признаков полового созревания у "вышечниц"; у девушек, выступающих с трамплина, в этом возрасте уже встречаются единичные случаи первых менструаций. У мужчин - прыгунов в воду формирование вторичных половых признаков происходит в обычной для юношей последовательности, но по темпам биологического (полового) созревания они отстают от юношей, не занимающихся спортом. Началом пубертатного периода прыгунов в воду можно считать возраст 14

Рис. 2. Взаимосвязь динамики сложности соревновательных программ с темпами биологичес кого созревания прыгунов в воду

Рис. 3. Сопоставление динамики коэффициен та трудности с суммарным баллом биологической зрелости спортсменов экстра-класса в прыжках с вышки

лет, когда каждый из признаков оценивается от 1 до 3 баллов. Наиболее сильное отставание от стандартов биологического развития по суммарному баллу биологической зрелости наблюдается в период с 13 до 16 лет и составляет в среднем 1 балл. После 16 лет отставание сокращается, и к 17 годам прыгуны в воду по биологической зрелости соответствуют школьникам, не занимающимся спортом. При этом половое созревание к 18 годам не завершается. Таким образом, по темпам биологического созревания прыгунов в воду можно отнести к ретардированному типу.

Корреляционный анализ, выполненный для выявления взаимосвязи спортивно-технических показателей с признаками биологической зрелости женщин, специализирующихся в прыжках в воду с трамплина и вышки, показал, что в 13-летнем возрасте ретардированые спортсменки более качественно выполняют прыжки с трамплина. А в 15-16 лет качество исполнения прыжков с обоих снарядов положительно связано с такими признаками биологической зрелости, как становление менструальной функции и развитие молочной железы. В 17 лет выявлена достоверно значимая положительная взаимосвязь сложности прыжков с вышки с баллом формирования менструальной функции, что свидетельствует о преимуществе девушек, достигших половой зрелости. Выявленные взаимосвязи косвенно свидетельствуют о том, что наиболее проблемным этапом в подготовке женщин является период, связанный с процессом становления менструальной функции.

У мужчин сложность прыжков с трамплина на достоверно значимом уровне связана с суммарным баллом биологической зрелости в возрасте 15 лет, а прыжков с вышки - в возрасте 16 и 18 лет. Это свидетельствует о том, что в данных возрастных периодах временное преимущество имеют более акселерированные мальчики.

Сопоставление динамики коэффициентов трудности (КТ) произвольных прыжков с суммарным баллом биологической зрелости спортсменов позволило определить средние баллы биологической зрелости для каждого возраста и наиболее характерные изменения в динамике спортивных достижений. Наиболее благоприятным периодом роста спортивных достижений женщин в прыжках с вышки является период онтогенеза, соответствующий 5-8 баллам биологической зрелости (14 - 15 лет), после чего возможно снижение сложности прыжков. У "трамплинисток" увеличение сложности прыжков происходит равномерно. После достижения 11,5 балла биологической зрелости снижения сложности прыжков с трамплина и вышки не наблюдается, что приблизительно соответствует возрасту 16 лет для девушек, выступающих в прыжках с трамплина, и 17,5 года - с вышки.

У мужчин рост сложности прыжков с трамплина и с вышки замедляется при достижении 3 баллов биологической зрелости (14 лет), а по достижении 9,5 балла (с 16 лет) вновь увеличивается способность овладения сложными прыжками как с вышки, так и с трамплина, что объясняется изменениями физических возможностей спортсменов, происходящими в период интенсивного роста и гормональной перестройки мужского организма [2] (рис. 2).

Подтверждением полученных закономерностей может служить динамика биологического развития и спортивных достижений спортсменов экстра-класса (мужчин и женщин).

Так, спортсмены экстра-класса, как мужчины, так и женщины, независимо от специализации (трамплин, вышка) по основным показателям биологической зрелости либо не отличаются от общей выборки прыгунов в воду, либо еще более ретардированны.

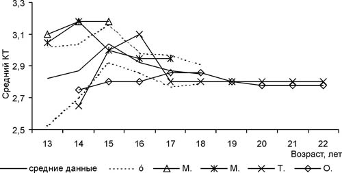
Динамика спортивных достижений спортсменов экстра-класса, как мужчин, так и женщин, характеризуется в первую очередь качеством исполнения прыжков. В то же время в росте сложности прыжков у мужчин экстра-класса после скачков сложности программ выявлены периоды стабилизации, которые происходят с 14 до 15, с 19 до 20 и с 22 до 23 лет, что совпадает с наиболее проблемными этапами биологического развития спортсменов (рис. 3). По-видимому, это позволяет совершенствовать прыжки, избегая форсированной подготовки.

Рис. 4 Динамика спортивных результатов спортсменок экстра-класса в прыжках с вышки

Спортсменки экстра-класса осваивают прыжки как с трамплина, так и с вышки программы максимальной сложности к 16 годам. Девушки, рано (в 14-15 лет) освоившие программы максимальной сложности и считавшиеся перспективным резервом сборной команды, закончили свою спортивную карьеру в возрасте 16-17 лет. Таким образом, форсированное повышение сложности программ прыжков с 10-метровой вышки приводит к преждевременному завершению спортивной деятельности (рис. 4).

По нашему мнению, такие особенности динамики спортивного совершенствования спортсменов экстра-класса связаны с их более длительным биологическим созреванием, а также с оптимальным сочетанием этапов спортивного совершенствования с фазами онтогенеза (биологического созревания) спортсменов.

Выводы.

1. В процессе многолетней подготовки перспективность прыгунов в воду необходимо определять с учетом фазы онтогенеза, в которой находится спортсмен, и в соответствии с ней индивидуализировать процесс тренировки.

2. Наиболее сложным периодом в подготовке прыгунов в воду высокого класса является пубертатный (полового созревания) период. Как правило, спортсмены, успешно выступающие в младших возрастных группах (группа Д - 10 лет и моложе, группа С - 11-12 лет), освоившие достаточно сложные прыжки, в дальнейшем не показывают высоких результатов и часто прекращают занятия спортом. Основная причина потери способных спортсменов кроется в отсутствии учета индивидуальных особенностей онтогенеза спортсмена.

3. Основной особенностью спортивного совершенствования прыгунов в воду высокого класса, многие годы выступающих в составе сборной команды страны, является отсутствие форсированной подготовки в сложных прыжках и их преждевременного включения в программу. Исследования показали, что спортсмены, рано (в 13-15 лет) освоившие программы максимальной сложности в прыжках с 10-метровой вышки и считавшиеся перспективным резервом сборной команды страны, к 16 - 18 годам закончили свою спортивную карьеру.

Литература

1. Антропология. Учеб. для вузов /В.М. Харитонов, А.П. Ожигова, Е.З. Година и др. - М.: Владос, 2003. - 272 с.

2. Блунк В. Детская эндокринология. - М.: Медицина, 1981. - 304 с.

3. Панасюк Т.В. Антропологический мониторинг как средство спортивного прогноза и совершенствования многолетнего тренировочного процесса у юных спортсменов //Сб. труд. ученых РГАФК посвященный 80-летнему юбилею академии. - М.: ФОН, 1998. Т.2, с. 136 - 140.

4. Панасюк Т.В., Распопова Е.А. Особенности телосложения и динамики физического развития прыгунов в воду в процессе многолетней спортивной подготовки: Метод. разраб. для студ. спец. прыжки в воду и слушателей ФПК Академии. - М.: РГАФК, 1996. - 25 с.

5. Распопова Е.А. Проблема отбора прыгунов в воду в процессе многолетней подготовки //Сб. тр. ученых РГАФК. - М.: ФОН, 2000, с. 68 - 74.

6. Распопова Е.А. Научно-методические основы многолетней подготовки прыгунов в воду: Автореф. докт. дис. М., 2000. - 77 с.


 Home На главную   Library В библиотеку   Forum Обсудить в форуме  up

При любом использовании данного материала ссылка на журнал обязательна!