ДЕТСКИЙ ТРЕНЕР
(журнал в журнале)


НАЗАД

СОДЕРЖАНИЕ



БЕГОВАЯ НАГРУЗКА В ТРЕНИРОВОЧНОМ ПРОЦЕССЕ НАЧИНАЮЩИХ ФУТБОЛИСТОК 10-12 ЛЕТ

Аспирант М.В. Рылов
Новосибирский государственный педагогический университет, Новосибирск

Тенденция эмансипации женщин в спортивной деятельности привела к тому, что даже хоккей, бокс, борьба, тяжелая атлетика, расценивавшиеся как "исключительно мужские виды спорта" [1], стали женскими. Женский футбол занял среди них достойное место.

Спортивные нагрузки, которые испытывает организм женщины, соответствуют, а нередко даже превосходят мужские. В связи с этим возникает проблема развития системы физической подготовленности спортсменок - одна из наиболее актуальных проблем в современном спорте. Организация тренировочного процесса требует правильного методологического подхода к подбору наиболее оптимальных и целесообразных нагрузок, позволяющих решать необходимые педагогические задачи, обусловленные возрастными особенностями спортсменок, уровнем их готовности и этапом подготовки. Не менее важными представляются значения количественных характеристик тренировочных нагрузок, позволяющих планировать процесс тренировки на уровне его микроциклов [2].

Современный футбол стремится к универсализации игры, что требует высокого проявления возможностей организма спортсменов. И функциональная подготовка, о которой специалисты говорят как о средстве достижения женщинами результатов, приближенных к мужским, становится важнейшей составляющей женского футбола изчисла тех, которые пока еще недостаточно хорошо изучены, но имеют огромное практическое значение для развития данного вида спорта. Приоритетным же направлением в многофакторном понятии "функциональная подготовка" мы определили беговую нагрузку .

С учетом этого связь основных параметров беговой тренировочной нагрузки спортсменок с биоэнергетическим обеспечением мышечной деятельности [4] - это прорыв в проблеме физической подготовки футболисток, которые теперь смогут избежать излишней беговой работы, что, естественно, не может не отразиться на их здоровье. И если ранее исследования "биоэнергетического подхода" проводились в основном в циклических видах спорта (легкой атлетике, плавании), то в настоящее время этот подход распространяется на тяжелую атлетику, единоборства и игровые виды спорта.

Особенно это касается детско-юношеского спорта: чем меньшим объемом нагрузки будет достигнут очередной спортивно -квалификационный уровень, тем больший резерв тренировочных средств и адаптационных возможностей организма спортсменок сохранится на будущее.

Таблица 1. Сравнение спортивно-квалификационных уровней легкоатлеток и футболисток в беге на 200 и 400 метров

200 м

Футбол

t, с

Легкая атлетика

МСМК

26,5

I

МС

27

II-I

КМС

27,8

II

I

28,6

III - II

II

30

III

III

31,4

1-й юн.

1-й юн.

32,8

2-й юн. - 1 юн.

2-й юн.

34,2

2-й юн.

2-й нач.

36,1

2-й нач.

1-й нач.

38

1-й нач.

б/р

40

б/р

400 м

Футбол

t, мин

Легкая атлетика

МСМК

1

I

МС

1.02

II-I

КМС

1.04

II

I

1.06,3

III

II

1.08,5

1-й юн.-III

III

1.11,5

1-й юн.

1-й юн.

1.14,7

2-й юн.

2-й юн.

1.18

2-й нач. - 2 юн.

2-й нач.

1.22

2-й нач.

1-й нач.

1.26

1-й нач.

б/р

1.30

б/р

Примечание. Представленное в табл. количество спортивно-квалификационных уровней научно обосновано [3, 4].

Таблица 2. Примерная программа беговой нагрузки для начинающих футболисток (полузащитниц) 10 лет (1-й год обучения, 400 м)

Метаболический режим

l, м

V, м

Варианты проработки метаболического режима,
число повторений (iT),
интервалы отдыха (toтд)

Li

i28

4 повт.

3 повт.

2 повт.

1 повт.

l

V

отд. мин

l

V

отд. мин

l

V

отд. мин

l

V

Е3

10-11

23-46

10

46

2

11

46

4

10

23

3,5

 

 

1,3

8

 

 

 

 

 

 

11

23

5

 

 

Ез-4

37-43

90-180

 

 

 

37

180

5

40

130

11

40

90

1,5

6

 

 

 

 

 

 

43

180

12

43

90

 

 

 

 

 

 

37

90

10

 

 

 

 

 

 

 

 

40

180

9

 

 

N4

75-90

185-370

 

 

 

 

 

 

75

240-370

11-14

90

185

1,6

5,5

 

 

 

 

 

 

80

315-370

12-15

 

 

 

 

 

 

 

 

75

185

16

 

 

Е4

130-170

370-750

 

 

 

 

 

 

130

750

14

130

370

1,7

5

 

 

 

 

 

 

 

 

 

140

750

 

 

 

 

 

 

 

 

 

140

370

 

 

 

 

 

 

 

 

 

150

750

 

 

 

 

 

 

 

 

 

150

370

 

 

 

 

 

 

 

 

 

150

600

 

 

 

 

 

 

 

 

 

160

750

 

 

 

 

 

 

 

 

 

160

370

 

 

 

 

 

 

 

 

 

170

750

 

 

 

 

 

 

 

 

 

170

370

N4-5

210-300

750-1500

 

 

 

 

 

 

200

1500

18

200

750

1,85

4,5

 

 

 

 

 

 

 

 

 

200

1000

 

 

 

 

 

 

 

 

 

300

1500

 

 

 

 

 

 

 

 

 

300

750

N5

900-1400

3000-6000

 

 

 

 

 

 

 

 

 

1000

3500

2,15

3,5

 

 

 

 

 

 

 

 

 

1000

4000

 

 

 

 

 

 

 

 

 

1000

5000

 

 

 

 

 

 

 

 

 

1000

6000

 

 

 

 

 

 

 

 

 

1400

6000

N5_6

3000-5000

12000-24000

 

 

 

 

 

 

 

 

 

3000

24000

2,5

2

Примечание. Термин «метаболический источник энергии», т.е. источник энергии, получаемой в результате метаболизма, был предложен М.Р. Смирновым в 80-е гг. для целей биоэнергетики. Известно, что каждый метаболический источник имеет собственные мощность -N (расход в единицу времени биохимического субстрата, определяющего функционирование данного источника) и емкость - Е (способность источника произвести определенную работу, на-прямую связанная с запасами данного субстрата в организме) [3,4].

Анализ специфики современного футбола и уровня развития физических качеств женщин-футболисток привел к некоторым принципиальным выводам.

1. Тренировать футболисток необходимо в соответствии с методикой беговой нагрузки [4] в беге на следующие дистанции: 400 м - для игроков середины поля (номинальных полузащитниц), выполняющих больший объем беговой нагрузки во время игры; 200 м - для игроков линии нападения (нападающих), нуждающихся в тренировке преимущественно скоростных качеств, и для защитниц, поскольку в современном футболе они не должны уступать в скорости своим основным оппонентам - нападающим.

2. При помощи метода математического моделирования выявлено расхождение спортивно-квалификационных уровней футболисток и женщин-легкоатлеток (табл. 1), позволяющее приступить к определению параметров беговой нагрузки и гарантированного срока достижения футболистами того или иного уровня беговой подготовленностил.

Опираясь на предложенную М.Р. Смирновым [4] принципиальную схему "полного биоэнергетического спектра" (ПБЭС), в которой зоны максимальных энергетических
вкладов различных метаболических источников были разведены во времени, и имея в своем распоряжении необходимые теоретические данные, мы произвели расчет необходимых компонентов тренировки применительно к футболу и получили научно обоснованную с позиций биоэнергетики программу беговой подготовки для начинающих футболисток, включающую следующие основные параметры тренировочного процесса (табл. 2):

1. Длина отрезков (диапазон от минимальной до максимальной для данного контингента длины) (l).

2. Скорость пробегания данных отрезков (соревновательный темп, в котором необходимо преодолеть выбранный отрезок),V.

3. Предельно допустимое число повторений (iT) в одном тренировочном занятии при пробегании отрезков конкретного диапазона.

4. Интервалы отдыха (tотд) между повторениями в повторной тренировке.

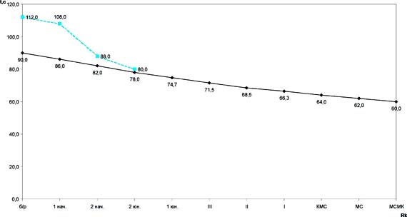
Рис. 1. Сравнение запланированных показателей начинающих футболисток 10-12 лет в беге на 200 м с полученными результатами:  ——— запланированный результат; - - - - - - фактический результат

Рис. 2. Сравнение запланированных показателей начинающих футболисток 10-12 лет в беге на 400 м с полученными результатами: ——— - запланированный результат; - - - - - - фактический результат

5. Продолжительность тренировочного периода (Li) для каждого метаболического режима в пределах предсоревновательного мезоцикла.

6. Максимальная частота (i28) включения в тренировочную программу нагрузки, относящейся к конкретной биоэнергетической зоне (в пределах тренировочного периода).

Продолжительность тренировочных периодов для отдельных метаболических режимов (Li) получаем из таблиц, подобных табл. 2, в которых представлены параметры беговой нагрузки для начинающих футболисток. На схеме предсоревновательного мезоцикла отмечаем тренировочные дни, определенные для проработки отдельных метаболических режимов.

Анализ исследования выполнен методом сравнения результатов тестирования беговой и технической подготовленности начинающих футболисток с моделью их развития по годам обучения.

Результаты эксперимента .

1. Для вратарей, защитниц и нападающих рост общего среднего результата в беге на 200 м составил 11,6 с. По каждому отдельному амплуа ситуация выглядит следующим образом: вратари - 11,2 с; защитницы - 12,7 с; нападающие - 9,15 с. Наибольшее влияние беговая нагрузка, предназначенная для проработки превалирующего метаболического режима N4 (200 м), оказывает на игроков линии обороны, т.е. в целом подтверждается гипотеза, согласно которой при определенной тренировке защитницы со временем смогут состязаться с нападающими в скоростных качествах при беге на короткие дистанции. Сравнение планируемых и достигнутых результатов юных футболисток в беге на 200 м мы представили на графике функций t=f(Rk) (см. рис. 1).

2. Общий средний результат бегуний на 400 м повысился на 32 с. Сравнение планируемых и достигнутых результатов футболисток -полузащитниц в беге на 400 м приведено на рис. 2.

По аналогии с графиком, составленным для 200 м, можно обнаружить некоторое расхождение средних результатов на начальном этапе, отдельные же достижения некоторых игроков середины поля практически полностью совпадают с прогнозируемыми результатами.

Анализ результатов педагогического эксперимента привел нас к необходимым и достаточно важным умозаключениям:

1. Предлагаемый научно обоснованный подход позволяет четко спланировать беговую подготовку начинающих футболисток.

2. Применение данной методики приводит к весьма существенному (в несколько раз) сокращению традиционных объемов функциональной подготовки (беговой нагрузки), что особенно важно для начинающих футболисток в плане сохранения здоровья и потенциала для большого спорта.

3. Соревновательная деятельность исследуемой женской футбольной команды 1991 г.р. в течение трех учебных лет (37 игр: +16 =10 -11 (в т.ч. с командами юношей), мячи - 113 : 102, ср. результативность - 3 гола за игру), спортивные достижения (серебряные призеры первенства Новосибирской области-2004, бронзовые призеры зоны Сибирь-Дальний Восток-2004) и качество игры позволяют констатировать, что функциональная и техническая подготовленность начинающих футболисток находится на хорошем уровне.

4. Точный научно обоснованный расчет и простота применения, а также то обстоятельство, что полученные конкретные практические параметры тренировочного процесса для исследуемого контингента могут означать возможность дальнейшей оптимизаци и беговой нагрузки, позволяют считать разработанную программу наиболее подходящей для использования в детско-юношеском спорте и конкретно в женском футболе.

Литерату ра

1. Горская Г.Б., Бондаренко Н.А., Зернова Т.И. и др. Психологические проблемы подготовки спортсменов разного пола//Physical education and sport: Sixth International Scientific Congress. - Warsaw, 2002. - Part 2. - Р. 48.

2. Лалаков Г.С. Структура и содержание тренировочных нагрузок у футболистов различного возраста и квалификации. - Омск: Изд-во СибГАФК, 2000. - 84 с.

3. Смирнов М.Р. Биоэнергетика спорта: Учеб. пос. для вузов и факультетов физической культуры. - Новосибирск: Новосибирское книжное изд-во, 2004. - 304 с.

4. Смирнов М.Р. Теоретические основы беговой нагрузки. - Новосибирск: Изд-во НГПУ, 1996. - 217 с.


 Home На главную   Library В библиотеку   Forum Обсудить в форуме  up

При любом использовании данного материала ссылка на журнал обязательна!