ДЕТСКИЙ ТРЕНЕР
(журнал в журнале)


НАЗАД

СОДЕРЖАНИЕ

ДАЛЕЕ



ПАРАМЕТРИЧЕСКАЯ ТРЕНИРОВКА ЮНЫХ ПЛОВЦОВ В ГОДИЧНОМ МАКРОЦИКЛЕ

Доктор педагогических наук, профессор C.М. Гордон
Е.С. Стародубцева

Российский государственный университет физической культуры, спорта и туризма, Москва

Введение. Поиски эффективных методов тренировки в связи с высоким уровнем спортивных результатов приобретают все более важное значение. Одним из прогрессивных методов тренировки является программа использования параметрических упражнений. Эффективность метода, его анализ и физиологические аспекты изучались рядом авторов [2 - 5].

В основу данного подхода положено предположение, что скорость роста спортивных результатов, скорость роста работоспособности и интенсивности в упражнениях взаимообусловлены. Знание этих соотношений позволит улучшить эффективность тренировки спортсменов.

Организация и методы исследования. В педагогическом эксперименте, проводившемся с 1999 по 2002 учебный год на базе СДЮШОР "Спартак" г. Кирова, приняли участие 15 спортсменов 13-15 лет квалификаций от 1-го разряда до МС, которые тренировались 10 раз в неделю.

В соответствии с календарем соревнований в тренировочном году выделялось два макроцикла. В свою очередь, в макроцикле в подготовительном периоде проводилась параметрическая тренировка первого типа, в которой при заданной постоянной скорости перед спортсменом ставилась задача увеличивать количество повторений от занятия к занятию.

В соревновательном периоде два раза в недельном микроцикле проводилась параметрическая тренировка второго типа. Перед спортсменами ставилась задача при заданном количестве повторений увеличивать скорость проплывания тренировочной дистанции. Отдых между отрезками в двух типах параметрической тренировки составлял 20 с. Длина отрезков - 25, 50, 100, 200, 400, 800 м при плавании способом кроль. Общий объем нагрузки возрастал пропорционально росту объема и интенсивности в параметрической тренировке.

Результаты исследования. Динамику результатов в годичном макроцикле можно оценить по относительному приросту скорости в конце каждого макроцикла (табл. 1). За начальный отсчет принята скорость на дистанциях в начале года.

Следует обратить внимание, что на дистанциях аэробной и анаэробной зон наблюдался существенный прирост результатов - от 7,3 до 10%. Такая величина прироста у спортсменов 1-го разряда и МС показывает высокую эффективность предлагаемой методики тренировки. Прирост результатов на дистанциях в аэробной зоне был существенно выше прироста в анаэробной зоне. Данное соотношение благоприятно для развития функциональных возможностей 13-15-летних пловцов экспериментальной группы, что соответствует пубертатному периоду развития.

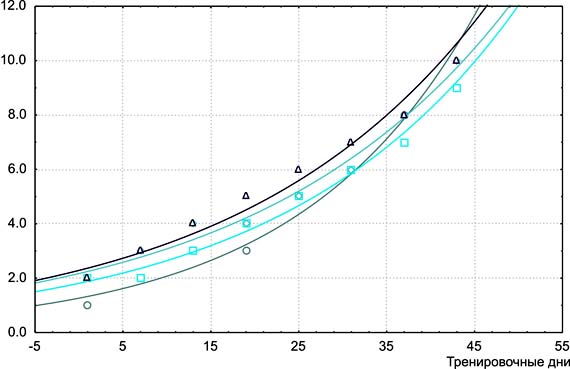
Статистическая обработка результатов параметрической тренировки первого типа, которая проводилась в подготовительном периоде, наилучшим образом аппроксимируется экспоненциальной функцией:

n = n0 e k t , где n - количество повторений, t - день, k - константа роста, день -1, e - основание натурального логарифма (рис. 1).

Таблица 1. Относительные величины изменения скорости на дистанциях различной длины к началу 1-го года эксперимента (п=15)

Макроцикл

50 м

100 м

400 м

800 м

1-й

1.065

1.051

1.073

1.061

2-й

1.019

1.025

1.010

1.019

За год

1.073

1.083

1.098

1.10

Таблица 2. Основные параметры параметрической тренировки первого типа

Длина тренир. отрезков, м

Начальное колич. повто- рений

Конечное колич. повто- рений

Общий объем, м

Интенсив-
ность начальная

Интенсивность конечная

Константа роста, день-1

25

8

40

1000

0,958

0,926

0,021

50

8

40

2000

0,921

0,895

0,029

100

4

20

2000

0,923

0,892

0,044

200

4

15

3000

0,962

0,939

0,029

400

2

10

4000

0,948

0,926

0,044

800

2

6

4800

0,967

0,912

0,025

Рис. 1. Примеры увеличения количества повторений по дням в параметрической тренировке первого типа при постоянной скорости (критерий Фишера - 13,18; 12,54; 8,42; 7,90; р < 0,05 - 0,01)

Рис. 2. Пример увеличения скорости во втором типе параметрической тренировки при заданном количестве повторений на дистанции 400 м (критерий Фишера не ниже 77,03; р<0,001)

Для методики тренировки и практического управления процессом подготовки важно знать начальное и конечное количество повторений, суммарный объем плавания, начальную и конечную интенсивность упражнений и константу роста работоспособности в упражнениях. Средние показатели для дистанций различной длины приведены в табл.1.

Начальную интенсивность, определяемую как отношение тренировочной скорости к максимальной на данном отрезке при заданном количестве повторений спортсмены выбирали самостоятельно. Она составила 0,946 ±0,01. Статистически достоверных различий (р= 0,005) между интенсивностью на разных отрезках не было. Конечная интенсивность составила в среднем 0,915 ±0,017. Снижение интенсивности при сохранении постоянной скорости обусловлено ростом результатов за рассматриваемый тренировочный этап. Константы роста оказались близки друг к другу, их средняя величина - 0,032 ±0,0089. Количество повторений в упражнениях увеличилось в 3-5 раз. Пульс в среднем снизился на 10 уд/мин, что говорит о повышении аэробных возможностей.

Параметрическая тренировка второго типа состояла в увеличении интенсивности при заданном количестве повторений.

Статистическая обработка результатов выполнения упражнений показала, что динамику увеличения скорости по дням можно аппроксимировать экспоненциальной функцией с предельным значением.

V = Vпр ( 1- e - h t ), где V - скорость, м/с, Vпр - предельная скорость на данном этапе тренировки, h - константа роста, день-1, t - день, е - основание натурального логарифма.

На рис. 2 для иллюстрации параметрической тренировки второго типа приведен пример выполнения тренировочных упражнений на дистанции 400 м.

Реализация параметрической тренировки второго типа связана с выбором количества повторений на дистанциях различной длины и определением интенсивности и констант роста работоспособности. В табл. 2 приведены экспериментальные данные после выполнения параметрической тренировки второго типа.

Обычно второй тип параметрической тренировки целесообразно использовать в соревновательном периоде. В эксперименте перед спортсменами стояла задача при заданном количестве повторений увеличить скорость, что характерно для непосредственной подготовки к соревнованиям. Оказалось, что константы на дистанциях различной длины близки по своему значению и в среднем составили 0,143 ±0,0146. Величина константы статистически достоверно коррелировала с приростом спортивных результатов, как на длинных, так и на коротких дистанциях 
(r = 0,7-0,8; р = 0,05). Относительная средняя величина прироста в тренировочных упражнениях составила 1,034±0,0069 (2,5-4,6%). Величина прироста в параметрической тренировке второго типа зависит от многих факторов, таких как реализация адаптационных возможностей спортсмена, методика построения предыдущего этапа тренировки, календарь соревнований и др.

В результате проведенного эксперимента можно сделать вывод, что предлагаемая методика параметрической тренировки открывает возможность планирования подготовки спортсменов с расчетом основных тренировочных упражнений и высокоэффективна в приросте результатов. Относительно большой прирост результатов на дистанциях аэробной зоны является хорошей базой для дальнейшего повышения спортивного мастерства.

Таблица 3. Основные параметры параметрической тренировки второго типа

Длина тренир. отрезков, м

Колич. повто- рений

Скорость начальная, м/с

Скорость конечная, м/с

Константа роста, день-1

Относительное увелич. скорости

25

8

1,724

1,791

0,146

1,039

50

8

1,465

1,507

0,171

1,028

100

8

1,344

1,391

0,136

1,035

200

4

1,338

1,400

0,141

1,046

400

3

1,318

1,351

0,122

1,025

800

3

1,243

1,282

0,142

1,031


 Home На главную   Library В библиотеку   Forum Обсудить в форуме  up

При любом использовании данного материала ссылка на журнал обязательна!