СОСТОЯНИЕ ВЕГЕТАТИВНОЙ НЕРВНОЙ СИСТЕМЫ У БЕРЕМЕННЫХ С НЕЙРОЦИРКУЛЯТОРНОЙ ДИСТОНИЕЙ ПРИ ФИЗИЧЕСКОЙ РЕАБИЛИТАЦИИ

Шилова Н.В.

Гуманитарный университет „Запорожский институт государственного и муниципального управления"

Аннотация. Предложенный метод физической реабилитации увеличивал активность вегетативной нервной системы вследствие улучшения компенсаторных механизмов. Программа физических упражнений может быть рекомендована для беременных женщин с нейроциркуляторной дистонией.

Ключевые слова: физическая реабилитация, беременность, нейроциркуляторная дистония, вегетативная нервная система.

Анотацiя. Шилова Н.В. Стан вегетативноi нервовоi системи у вагiтних з нейроциркуляторною дистонiею пiд час фiзичноi реабiлiтацii. Запропонований метод фiзичноi реабiлiтацii пiдвищував активнiсть вегетативноi нервовоi системи внаслiдок покращення компенсаторних механiзмiв. Програма фiзичних вправ може бути рекомендована для вагiтних з нейроциркуляторною дистонiею.

Ключовi слова: фiзична реабiлiтацiя, вагiтнiсть, нейроциркуляторна дистонiя, вегетативна нервова система.

Annotation. Shilova N.V. The state of the vegetative nervous system of pregnant women with neurocirculatory dystonia during physical rehabilitation. The program of physical exercises increased activity that may due to the improving of the compensatory mechanisms. The proposed method of physical rehabilitation can be recommended for women with neurocirculatory dystonia during pregnancy.

Keywords: physical rehabilitation, pregnancy, neurocirculatory dystonia, vegetative nervous system.

Введение.

Среди различных экстрагенитальных заболеваний, встречающихся у беременных, нейроциркуляторная дистония (НЦД) занимает одно из первых мест [7]. Эта проблема в акушерстве актуальна всвязи с тем, что это патологическое состояние может быть причиной осложнений беременности, родов, послеродового периода, может приводить к перинатальной смертности, влиять на дальнейшее нервно-психическое развитие детей [4, 6, 11]. НЦД в общей структуре заболеваемости занимает 5-20%, а у беременных этот показатель колеблется в пределах 10-40% [3]. Нарушения физиологических функций при НЦД в основном обусловлено изменениями вегетативной нервной системы [4]. Метод физической подготовки беременных к родам является неотъемлемой частью комплексной дородовой подготовки [7, 12]. Вместе с тем, в практическом акушерстве методу сегодня уделяется безосновательно мало внимания.

Одним из важных критериев, характеризующих процессы адаптации, являются вегетативные изменения, поскольку именно вегетативная нервная система выступает основным регуляторным механизмом, влияющим на функциональное состояние органов и систем и адаптирует их к деятельности всего организма, к условиям окружающей среды [6, 9]. При этом в состоянии покоя преобладает вагусная регуляция, а стрессовая ситуация приводит к активации симпатической нервной системы, что активирует энергетические процессы [10]. Эти механизмы являются энергозатратными, поэтому не могут длительно действовать без негативных последствий. В связи с этим вегетативные изменения могут рассматриваться как критерий стрессовой ситуации организма [1, 8].

Методы терапии могут быть направлены, прежде всего, на устранение нарушений в центральной нервной системе наряду с улучшением регулирующей функции отделов вегетативной нервной системы. В этом контексте большое значение имеют немедикаментозные методы терапии [13].

Данные исследования являются темой научно-исследовательской работы магистров физической реабилитации, утвержденный Министерством Образования Украины приказ № 65 - 3С от 17.01.2007г.

Формулирование цели работы.

Целью работы явилось изучение особенностей состояния вегетативной нервной системы у беременных с нейроциркуляторной дистонией при прохождении физической реабилитации.

Материалы и методы исследования. Под нашим наблюдением находилось 40 беременных. Возраст беременных в среднем составил 26,1±1,1 лет. Всех женщин распределили на две клинические группы. I группу составили 28 беременных, которые проходили курс физической реабилитации по предложенной нами методике, включавшей 15 гимнастических упражнений в течение 30 минут каждый день. После упражнений беременные принимали общий дождевой индифферентный душ среднего давления в течение 10 минут. Во II группу включили 12 беременных, проходивших физиопсихологическую подготовку согласно общепринятой методики [7]. Распределение беременных по возрасту, семейным положением, социальным статусом было однородным, что позволило провести рандомизированное исследование. Что касается паритета, то во всех случаях это была запланированная первая беременность.

Для определения состояния вегетативной нервной системы мы использовали методику оценки вегетативного тонуса организма по А.М. Вейну [1]. Вегетативный тонус оценивали с помощью вегетивного индекса (ВИ) Кердо. Анализировали также систолическое артериальное давление (САД), диастолическое артериальное давление (ДАД), среднее АД (срАД), частоту сердечных сокращений (ЧСС), пульсовое артериальное давление (ПАД). Минутный объем кровообращения определяли непрямым методом Лилье-Штрандера и Бандера. Вегетативное обеспечение деятельности организма исследовали путем проведения ортостатической пробы [2].

Исследование вегетативной нервной системы у женщин обеих групп проводили дважды в сроках 12 и 20 недель гестации. Достоверность полученных результатов оценивали при помощи параметрических и непараметрических методов.

Результаты исследования.

Для решения поставленных в работе задач исследование было сфокусировано на два направления: изучение особенностей состояния вегетативной нервной системы у беременных с НЦД, а также характера и частоты акушерских осложнений.

В сроке 12 недель гестации не наблюдалось значимых различий между показателями вегетативного тонуса в обеих группах. При обследовании беременных с НЦД в сроке 20 недель гестации выявлено увеличение функциональной активности симпато-адреналовой системы, что отразилось на показателях вегетативного тонуса. Было выявлено достоверное увеличение индекса Кердо. Значимых изменений других показателей не выявлено.

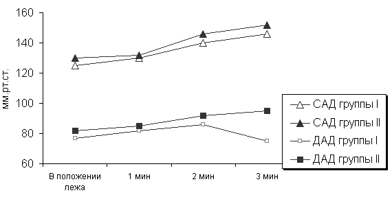
Для выявления особенностей адаптации организма к беременности у женщин с НЦД мы проводили ортостатическую пробу. При ортостатической пробе у беременных обеих групп в сроке 12 недель гестации наблюдали постепенное увеличение САД и ДАД (рис. 1).

Рис. 1. САД и ДАД у женщин с НЦД по гипертоническому типу на 12 неделе гестации при проведении ортостатической пробы

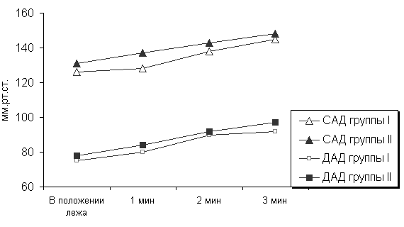
В I группе на 20 неделе гестации наблюдали постепенное повышение САД при изменении положении тела на вертикальное, при этом ДАД снижалось (рис. 2). Если придерживаться положения, что САД отражает ударный объем сердца, а ДАД - общее периферическое сопротивление сосудов, то можно сделать вывод о том, что предложенный комплекс физической реабилитации организма беременной способствует изменению общего периферического сопротивления сосудов.

Рис. 2. САД и ДАД у женщин с НЦД по гипертоническому типу на 20 неделе гестации при проведении ортостатической пробы

Во II группе в отличие от I группы наблюдали постепенное увеличение САД и ДАД на 20 неделе гестации.

Исследование вегетативного тонуса по А.М.Вейну в сроке 12 недель гестации показало преобладание парасимпатической активности в обеих группах (табл. 1).

Таблица 1

Вегетативный тонус по А.М.Вейну в разные сроки гестации у женщин с нейроциркуляторной дистонией

Вегетативный тонус

12 недель гестации

20 недель гестации

Группа I
(n = 28)

Группа II
(n = 12)

Р

Группа I
(n = 28)

Группа II
(n = 21)

Р

Симпатические проявления (баллы)

31,9±4,8

30,8±6,1

>0,05

35,5±3,9

48,3±5,1

<0,05

Парасимпатические проявления (баллы)

32,9±4,1

35,2±3,97

>0,05

34,8±4,7

29,9±4,34

<0,05

Преобладающая регуляция

ПС

ПС

С

С

Вероятность преобладания, %

49,2±4,3

46,7±5,21

>0,05

50,5±3,2

61,8±5,21

<0,05

Примечание: ПС - парасимпатическая система; С - симпатическая система.

При увеличении срока гестации вегетативный баланс смещается в сторону симпатической регуляции, что свидетельствует о напряжении приспособительных механизмов организма. При этом необходимо отметить, что у женщин, начавших с 12 недели гестации проходить физическую реабилитацию по разработанной нами методике, это смещение не было выраженным, тогда у женщин, проходивших физиопсихологическую подготовку согласно общепринятой методики, соотношение вагусной и симпатической регуляции свидетельствует о существенной симпатикотонии.

В I клинической группе встречалось меньшее количество осложнений во время беременности и родов по сравнению со II группой. Это можно объяснить позитивным влиянием предложенной методики на эмоциональный статус беременных, и, как следствие, уменьшение в этой группе женщин уровня психоэмоционального напряжения, что является главным фактором риска большинства осложнений беременности и родов.

Выводы.

Проведение физической реабилитации по предложенной методике с 12 по 20 недели гестации сопровождается повышением вагусной активности у беременных по сравнению с женщинами, проходившими физиопсихологическую подготовку по общепринятым стандартам, что отображает позитивное влияние физической реабилитации на состояние компенсаторных возможностей организма. Разработанная нами методика физической реабилитации беременных до родов позитивно влияет на течение беременности и позволяет уменьшить количество патологических родов.

Список литературы

1. Вейн А.М. Вегетативные расстройства. М.: Мед. информ. агентство, 2000. - 262 с.

2. Елохина Т.Б. Роль клиноортостатичской пробы с записью ЭКГ в прогнозировании гестом у беременных с различными заболеваниями внутренних органов: Дне. ... канд. мед. наук. - М., 1998.

3. Жарких А.В., Беляева Т.Н., Барковский Д.Е. и др. Влияние дифференцированной физиопсихопрофилактической подготовки беременных к родам на частоту и структуру акушерских осложнений. В: 36. наук, праць Асоцiацii акушерiв-гiнекологiв Украiни. К.: Iнтермед; 2003: 110-114.

4. Зозуля О.В. Течение гипертонической болезни у беременных. Механизмы развития, ранняя диагностика и профилактика осложнений: Автореф. ... д-ра мед. наук. - М., 1997.

5. Козинова О.В., Кирюшенков А.П. Особенности течения нейроциркуляторной дистонии во время беременности и ее влияние на гестационный процесс и развитие плода // Акушерство и гинекология. - 2002. - №6. - С. 20-24.

6. Маколкин В.И., Аббакумов С.А., Сапожникова А.А. Нейроциркуляторная дистония (клиника, диагностика, лечение): Пособие для практических врачей. - Чебоксары, 1995. - С. 249.

7. Про удосконалення амбулаторноi акушерсько-гiнекологiчноi допомоги в Украiнi: Наказ № 503: Видано Мiнiстерством охорони здоров'я Украiни 28.12.2002. К.; 2003.

8. Савельева Г.М., Черепкова Т.В. Нейроциркуляторная дистония при беременности // Акушерство и гинекология. - 1997. - № 5. - С. 11 - 15.

9. A pilot study on the effects of aquatic exercises on discomforts of pregnancy. Smith S.A., Michel Y.//J.Obstet.Gynecol.Neonatal.Nurs. - 2006.-N35(3).- P. 315.

10. Associations of physical activity and inactivity before and during pregnancy with glucose tolerance / Oken E., Ning Y., Rifas-Shiman S.L., at al. // Obstet. Gynecol. - 2006. - N 108(5). - P. 1200-7.

11. Granath A.B., Hellgren M.S., Gunnarsson R.K. Water aerobics reduces sick leave due to low back pain during pregnancy // J. Obstet. Gynecol. Neonatal Nurs. - 2006. - N 35(4). - P. 465-71.

12. Hiekie I., Hadri-Pavlovie D., Ricci C. // Reviving the diagnosis of neurasthenia. Psychological Medicine. - 1997. - V. 27, N5. - P. 115-117.

13. Yeo S. A randomized comparative trial of the efficacy and safety of exercise during pregnancy // Contemp.Clin.Trials. - 2006. -N27(6). - P. 531-40.

Поступила в редакцию 24.03.2007г.


 Home На главную   Library В библиотеку   Forum Обсудить в форуме 

При любом использовании данного материала ссылка на первоисточник обязательна!