БИОМЕХАНИЧЕСКИЙ АНАЛИЗ КИНЕМАТИЧЕСКОЙ СТРУКТУРЫ ПОЗ И ТЕХНИКИ ГРЕБКОВЫХ ДВИЖЕНИЙ У КВАЛИФИЦИРОВАННЫХ БАЙДАРОЧНИКОВ

Гамалий В.В., Жирнов А.В.

Национальный университет физического воспитания и спорта Украины

Аннотация. В работе представлены результаты экспериментального исследования кинематической структуры поз гребцов и техники гребковых движений у квалифицированных спортсменов и их влияния на эффективность гребли на байдарках.

Ключевые слова: техника гребли, кинематические характеристики, биомеханическая гребная система.

Анотацiя. Гамалiй В. В., Жирнов А. В. Бiомеханiчний аналiз кiнематичноi структури поз i технiки веслових рухiв у квалiфiкованих байдарочникiв. У працi представленi результати експериментального дослiдження кiнематичноi структури поз веслувальникiв i технiки веслових рухiв у квалiфiкованих спортсменiв та iхнiй вплив на ефективнiсть веслування на байдарках.

Ключовi слова: технiка веслування, кiнематичнi характеристики, бiомеханiчна веслова система.

Annotation. Gamaliy V. V. Zhirnov A. V. Biomechanical analysis of cinematic structure of postures and technique of rowing actions cayakmen’s. In work the outcomes of experimental examination of kinematic frame of postures canoists and technique of hoe-type locomotions for the qualified sportsmen and their influence on efficacyy of boat racing on kayaks represented.

Key words: technique of canoeing, cinematic characteristics, biomechanical rowing system.

Постановка проблемы. На современном этапе развития гребного спорта техническая подготовленность спортсменов является одним из ведущих факторов в достижении высокого спортивного результата [6]. Анализ специальной литературы показал, что большинство авторов, исследуя технику гребли, уделяют большее внимание особенностям кинематической структуры двигательных действий спортсменов и по данному вопросу накоплен достаточно обширный объём информации [2, 1, 3]. Однако, следует отметить, что в связи с изменением правил соревнований и усовершенствованием инвентаря (в период с1996 г. по 2000 г. два раза кардинально менялась форма лодок), изменилась и техника гребли. Изучение и анализ кинематической структуры техники гребли в новых соревновательных условиях снова становятся актуальными.

Анализ последних исследований и публикаций. Так как весло и лодка представляют собой механическую систему, предназначенную для преобразования усилий гребца в поступательное движение лодки, целесообразно объединить гребца, весло и лодку в единую биомеханическую гребную систему (БГС) - "гребец - весло - лодка"[3]. Основной целью БГС является перемещение лодки с максимально возможной скоростью. Действия гребца представляют ведущий компонент этой системы, в структуре которого можно выделить относительно самостоятельные элементы, в значительной мере определяющие результативность моторного акта:

- использование массы тела спортсмена для выполнения гребка;

- положение и характер работы весла в воде;

- реализация усилий, возникающих во время опоры весла на воду для продвижения лодки

Усовершенствование формы гребных судов повышает возможность использования массы тела спортсмена во время выполнения гребка [1]. Воздействие веса тела на весло находится в отрицательной взаимосвязи с амплитудой работа туловища и характеристиками его движения по принципу маятника [4]. Увеличение амплитуды наклона туловища в свою очередь имеет отрицательную связь с характеристиками его разворота, хотя и позволяет более эффективно использовать инерционные силы [5].

Таким образом, биомеханические особенности отдельных элементов двигательной структуры техники гребцов-байдарочников требуют экспериментальной проверки в новых условиях соревновательной деятельности.

Работа выполнена по плану НИР Национального университета физического воспитания и спорта Украины.

Цель работы - изучить особенности кинематической структуры поз гребца и техники гребковых движений у квалифицированных спортсменов и их влияния на эффективность гребли на байдарках (скорость движения лодки).

Методы исследования: теоретический анализ и обобщение данных специальной научно-методической литературы, метод педагогических наблюдений, видео съёмка, видео - компьютерный анализ кинематических характеристик движения и методы математической статистики.

Результаты исследования и их обсуждение. Под позой понимают взаимное расположение звеньев тела, их ориентацию относительно системы отсчёта и отношение к опоре. Технику гребли на байдарках можно рассматривать как последовательность поз [3, 7].

Анализ биомеханических характеристик техники гребли квалифицированных спортсменов, базировался на изучении граничных поз- положений тела спортсмена в момент перехода от одной фазы гребного цикла к другой. Гребок можно условно разделить на следующие фазы: две опорных с правого и левого бортов и две безопорных. Опорная в свою очередь делится на три фазы: захват, проводка и вынос весла [5]. Характеристики поз тела спортсмена в различные моменты гребного цикла представлены в табл. 1.

Таблица 1.

Кинематические характеристики техники гребли в разные моменты гребка

харак-ки

 Углы в суставах, град.

Фазы гребка

Начало
захвата справа

Начало
проводки справа

Начало
выноса справа

Окончание
выноса справа

Начало
захвата слева

Начало
проводки слева

Начало
выноса слева

Окончание
выноса слева

1

Туловище-
вертикаль

21,5

21

17,25

16,25

20,75

20

18

17

σ

3,41

1,83

3,125

2,42

2,81

1,16

2

2,83

V%

15,89

8,73

18,11

14,9

15,88

5,83

11,11

16,6

2

Весло-
Вода

44,5

67,25

-38,25

-26,75

46,75

75

-43,75

-26,75

σ

3,125

3,67

3,66

4,84

0,843

4,2

1,09

2,46

V%

7,02

5,46

-9,59

-18,1

1,8

5,6

-2,5

-9,22

3

Туловище-
Бедро

58,5

68

66,75

70,5

58,25

66,5

69,5

70,25

σ

14,02

6,75

5,61

7,02

7,36

4,22

5,27

7,81

V%

23,97

9,92

8,41

9,96

12,65

6,35

7,58

11,12

4

Туловище-
Плечо

85,5

71,25

0,75

-7,75

85,75

65,5

-1,25

-10,75

σ

27,63

9,047

0,04

0,64

21,58

8,25

0,007

0,5

V%

32,31

12,69

6,333

-8,35

25,17

12,59

-0,6

-4,72

5

Плечо-
Предплечье

179,25

175,5

97,75

89,25

180

174,75

94,5

80

σ

0,84

8,85

8,5

18,77

0

5,84

5,9

9,7

V%

0,47

5,04

8,70

21,03

0

3,34

6,24

12,125

6

Бедро-
Голень

119,25

127,75

129,5

133,75

116,75

112,75

111,25

108,25

σ

0,18

1,18

2,75

3,18

0,68

0,68

4,68

5,18

V%

0,15

0,92

2,12

2,38

0,58

0,60

4,21

4,79

Некоторые авторы [1, 3, 5] считают оптимальной прямую посадку спортсмена в лодке, когда туловище приближено к вертикали, или же с наклоном вперед на 10-15º.

Анализ поз тела спортсмена в разные моменты гребного цикла позволил определить, что положение туловища относительно вертикали (табл. 1, показатель 1) колеблется в пределах от 21,5º во время захвата до 16,25º к окончанию опорной фазы. Увеличение наклона вперед позволяет максимализировать длину проводки, а также уменьшить плечо приложения силы, переданной на плечевые суставы с древка весла относительно оси вращения туловища, увеличивая при этом жесткость всей биомеханической системы. Растягивание длинных мышц спины при наклоне вперед стимулирует проявление их сократительных возможностей. В связи с изменением формы лодок стало возможным увеличение наклона туловища, что позволяет более эффективно использовать массу тела при воздействии на весло.

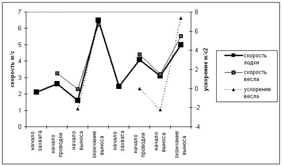
Рис. 1 Скорость и ускорение лопасти весла и скорость лодки в опорной фазе.

На рис. 1 можно наблюдать, что скорость лодки значительно изменяется за цикл гребка. Наименьшая скорость отмечена в момент начала захвата, а наибольшая - в момент окончания опорной фазы, что является естественным, так как при отсутствии пропульсивной силы скорость снижается за счёт действия гидродинамического и аэродинамического сопротивления. Для минимизации потерь скорости БГС необходимо выполнять гребковые движения с интенсивным увеличением скорости лопасти весла, которая должна превосходить скорость лодки. На рис. 1 наблюдается значительное увеличение скорости и ускорения лопасти весла во время окончания опорной фазы.

Для определения влияния отдельных параметров кинематической структуры поз гребца и техники гребковых движений у квалифицированных спортсменов на эффективность гребли на байдарках был проведен корреляционный анализ. В качестве критерия эффективности техники гребли была взята скорость лодки.

В результате анализа были получены значения коэффициентов корреляции между скоростью лодки и различными элементами техники гребли.

На скорость лодки в значительной мере влияет ускорение весла в опорной фазе (r = 0,9), скорость лопасти весла в опорной фазе (r = 0,62), угол между туловищем и бедром (r = 0,52). В меньшей мере на скорость лодки влияет: угол между плечом и предплечьем (r = 0,32), перемещение весла (r = -0,41), угол наклона туловища (r = -0,32). По нашим данным отсутствует связь между скоростью лодки и углом весло - вода (r = 0,01), и углом бедро - голень (r = -0,01).

Выводы

1. Характерной особенностью структуры поз квалифицированных спортсменов при гребле на судах новой конструкции является величина наклона туловища относительно вертикали в граничные моменты, которая составляет в момент захвата - 21,5º и в момент окончания проводки -16,25º.

Увеличение наклона туловища относительно вертикали связано с изменением формы лодок и более эффективным использованием массы тела спортсмена для выполнения гребка.

2. На рационализацию построения поз и эффективность гребковых действий в гребле у спортсменов высших разрядов наибольшее влияние оказывают такие элементы техники гребли, как: ускорение весла в опорной фазе, скорость лопасти весла в опорной фазе, динамика угла между туловищем и бедром, а также между плечом и предплечьем, перемещение лопасти весла за время опорной фазы, угол наклона туловища в моменты захвата и окончания проводки.

3. Полученные данные могут быть использованы при разработке критериев оценки эффективности техники гребли на байдарках у квалифицированных спортсменов.

Дальнейшие исследования предполагается направить на изучение других проблем техники гребковых движений у квалифицированных байдарочников.

Литература.

1. Дольник Ю.А., Пылаев С.М. Анализ стартовых действий гребцов на байдарках и каноэ // Гребной спорт - ежегодник.- М.: Физкультура и спорт, 1986.- С.27-31.

2. Жмарев Н.В. Тренировка гребцов.- М.: Физкультура и спорт, 1981.- 111 с.

3. Иссурин В.Б. Биомеханика гребли на байдарках и каноэ. - М.: Физкультура и спорт, 1986.- 122 с.

4. Мищенко В.С., Бегунов В.Н., Писаный В.С. Особенности функциональных компонентов специальной выносливости гребцов-байдарочников - К.: КГИФК, 1991.- 23 с.

5. Никоноров А.Н. Использозание массы тела как биомеханического критерия эффективности движений.// Научно-методические основы подготовки спортсменов высокого класса. К.:КГИФК, 1981. 61 с.

6. Платонов В.Н. Общая теория подготовки спортсменов в олимпийском спорте - К.: Олимпийская литература, 1997.- 260 с.

7. Стеценко Ю.Н., Никоноров А.Н. Подготовка гребцов на байдарках. - К.: Здоровье, 1985.- 120 с.

Поступила в редакцию 18.06.2004г.


 Home На главную   Library В библиотеку   Forum Обсудить в форуме 

При любом использовании данного материала ссылка на первоисточник обязательна!