ИСПОЛЬЗОВАНИЕ ЭФИРНОГО МАСЛА ЛАВАНДЫ (ЭМЛ) В ТРЕНИРОВОЧНОЙ ДЕЯТЕЛЬНОСТИ БАСКЕТБОЛИСТОВ С ЦЕЛЬЮ ВЛИЯНИЯ НА АДАПТАЦИЮ К ФИЗИЧЕСКОЙ НАГРУЗКЕ

Битко С.Н., Окипняк В.Г., Фойгт В.В., Маслов В.Н.

Государственный научно-исследовательский институт физической культуры и спорта

Аннотация. Изучено влияние пролонгированного воздействия эфирного масла лаванды (ЭМЛ) на адаптацию к тренировочным нагрузкам у баскетболистов уровня мастера спорта (МС). Анализировали особенности игровой деятельности, регуляцию работы сердца (метод Р.М.Баевского), время восстановления после стандартной нагрузки.

Ключевые слова: тренировочная деятельность, баскетбол, адаптация, эфирное масло лаванды.

Анотацiя. Битко С.М., Окипняк В.Г., Фойгт В.В., Маслов В.М. Використання ефiрноi олii лаванди (ЕОЛ) у тренувальнiй дiяльностi баскетболiстiв з метою впливу на адаптацiю до фiзичного навантаження. Вивчено вплив пролонгованого впливу ефiрноi олii лаванди (ЕОЛ) на адаптацiю до тренувальних навантажень баскетболiстiв рiвня майстер спорту (МС). Вивчали особливостi iгровоi дiяльностi, регуляцiю роботи серця (метод Р.М.Баевського), час вiдновлення пiсля навантажень.

Ключовi слова: тренувальна дiяльнiсть, баскетбол, адаптацiя, ефiрна олiя лаванди.

Annotation. Bitko S., Okipnjak V., Foygt V., Maslov V. Usage of an essential oil of a lavender (LEO) in training activity of basketball players with the purpose of influencing on acclimatization to physical loading. The influence of lavender essential oil (LEO) prolonged effect on adaptation to training loads in basket-ball planers of master of sports (MS) level was studied. The features of plan activity, cardiac activity regulation (R.M.Bayevsky’s method), and rehabilitation time after standard load were analyzed.

Key words: training loads, basketball, adaptation, lavender essential oil (LEO).

Постановка проблемы. Большие физические нагрузки в тренировочном процессе и соревновательной деятельности предъявляют высокие требования к управлению всеми жизненными процессами в организме спортсмена. Адаптивные возможности сердца во многом зависят от характера процессов возбуждения и торможения в высоких вегетативных отделах центральной нервной системы. Все это требует поиска оптимальных путей повышения нормализации частоты сердечных сокращений и артериального давления.

Работа выполнена в соответствии с планом научно-исследовательской работы Государственного научно-исследовательского института физической культуры и спорта.

Анализ последних исследований и публикаций. Одна из предпосылок качественной отдачи в игровых видах спорта - высокий уровень управляющего воздействия центральной нервной системы (ЦНС), как доминирующего звена адаптации, в том числе и ССС, к быстро изменяющимся условиям на площадке [1]. Баскетболист в процессе игры сталкивается с необходимостью решения многих частных задач, связанных с быстрой и точной оценкой игровых ситуаций, прогнозированием возможных действий партнеров и соперников, анализом и коррекцией своей деятельности в условиях высоких физических нагрузок и дефицита времени [2, 3].

Важным ограничивающим компонентом в период тренировки и восстановления является адекватность функционального состояния сердца как фактора, уменьшающего объём тренировок и удлиняющего время восстановления. Известно, что биологически активные вещества (БАВ) растительного происхождения в зависимости от состава и дозы в значительной степени способны влиять на тонус центральной нервной системы, изменять реализацию вегетативных реакций [4, 5]. Среди различных БАВ наиболее доступными для хранения и употребления являются эфирные масла (ЭМ).

Клинические наблюдения и экспериментальные данные свидетельствуют, что (ЭМ) масла в диапазоне естественных доз от (0,05 до 0,5 мг/м) обладают общефитонцидными свойствами, т.е. способны губительно действовать на патогенную микрофлору, не оказывая в то же время вредного влияния на многоклеточный организм. В зависимости от состава и дозы ЭМ изменяется эффект влияния на состояние центральной нервной системы. Так, терапевтические дозы эфирного масла лаванды (ЭМЛ) оказывают мягкий стимулирующий эффект, повышая, по мнению ряда авторов, тонус центральной нервной системы.

В свою очередь рядом авторов [6, 7] показано, что пролонгированное вдыхание терапевтических доз ЭМЛ улучшает хронометрические показатели трудовой деятельности, нормализует ЧСС и АД.

Анализ литературы указывает на недостаточную разработку проблем использования в спортивной практике пролонгированного вдыхания терапевтических доз ЭМЛ.

Формирование целей статьи. В нестандартных условиях игровой деятельности особое значение приобретают скорость восприятия, динамичность восприятия, скорость реакции, оперативная память - процессы обеспечивающие переработку информации и принятия. Используя эти и другие данные как основу, мы применяли эфирное масло лаванды для коррекции функционального состояния баскетболистов. Целью нашей работы было изучить возможность применения ЭМЛ для оптимизации регуляторных систем организма высококвалифицированных баскетболистов при подготовке к соревнованиям.

Методика. Перед тренировкой 5 раз в неделю, на протяжении 30 дней, группа спортсменов в течение 30 минут вдыхала распыленное в помещении эфирное масло лаванды ЭМЛ концентрации 0,1 - 0,15 мг/м3 .

С целью изучения влияния терапевтических доз эфирного масла на эффективность игровых действий баскетболистов нами были сформированы экспериментальная и контрольная группы в количестве 11 человек каждая.

Сравнение испытуемых групп проводили по следующим методикам:

а) показателям - анализ регуляции сердечного ритма по Р.М.Баевскому [8], зарегистрированным до и после 30 дневного цикла применения;

б) времени восстановления пульса после стандартной нагрузки во время каждой тренировки;

в) спортивно - педагогическим методикам, принятым в баскетболе, - целому ряду показателей, отражающих различные стороны подготовленности.

В основу анализа сердечного ритма легли наиболее значимые показатели регуляции : среднее (04Delta_.jpg (1897 bytes)х, с ), коэффициент вариации (КВ); асимметрия (А); эксцесс (Э); мода (Мо, с); амплитуда моды (АМо, %); индекс напряжения (ИН, усл.ед.); К(Херста) - обобщенный показатель состояния сердца.

В основу педагогического анализа было положены количественные показатели тактических и технических ошибок во время игры.

Результаты исследований. В результате проведённых исследований были получены данные об изменении регуляторных характеристиках сердечной деятельности по показателям вариационной пульсометрии в покое при адаптации к нагрузке (тренировка) на фоне пролонгированного применения ЭМЛ.

Исследования, проведенные, в реальных условиях предсоревновательного этапа показали, что в результате пролонгированного воздействия ЭМЛ произошли топологические изменения основных показателей кардиорегуляции, влияющих на адаптацию к предъявляемым нагрузкам.

Результаты наиболее информативных и значимых результатов, полученных в условиях относительного покоя у баскетболистов не фоне накопления ЭМЛ приведены в таблице 1 .

Так, приведённые результаты свидетельствуют, что показатели ВПМ характеризуют функциональное состояние и способность адаптироваться к нагрузке. Имеется ряд нормативных характеристик и закономерностей, характеризующих особенности показателей регуляции ритма сердца при срочной и кумулятивной адаптации к физическим нагрузкам [3, 5, 6, 7].

При анализе результатов были получены следующие закономерности (рис.1). В исследуемой группе баскетболистов при накоплении ЭМЛ наблюдается стабилизация сердечного ритма. Пульс становится ровнее по частоте, наполнению, уменьшается количество отклонений ЧСС в покое. Показатель 04Delta_.jpg (1897 bytes)х (и мода) статистически достоверен на всех этапах теста, до воздействия ЭМЛ составили 0.32±0.04 (Мо 0.646 с); и снизилась до 0.31±0.041 с (Мо 0,639 с).

Таблица 1

Особенности изменения ЧСС в покое у баскетболистов на фоне пролонгированного применения эфирного масла лаванды, M±m .

Показатель

До эксперимента

После эксперимента

Контрольная группа

до

Контрольная группа после

ЧСС ср.
М+ м

73,1

2,1

67,2

1,9

72,9

2,4

73,6

3.1

04Delta_.jpg (1897 bytes)X

0.32+ 0.04

0.35+ 0.017

0.31+ 0.041

0.33+0.05

Амо

29.7+ 4.11

36.8 + 5.23

31.7+ 4.76

31.4+5.38

КВ

28.3+ 3.22

19.6+ 1.87

27.9+ 4.62

28.0+4.51

ИН

49.5+ 5.24

31.8+ 3.11

51.2+ 6.22

50.3+6.08

Достоверное понижение указанного показателя регуляции ритма сердца свидетельствует о значительном уменьшении влияния гуморального канала (автономного контура) регуляции на ритм сердца.

При пролонгированном воздействии ЭМЛ мы наблюдали снижение ЧСС в покое 67,2±1,2 (73,1±2,1 контроль) мы интерпретируем это как фактор расширения адаптивных возможностях организма.

Индекс напряжения (ИН) Р.М.Баевского статистически достоверен и до, и после воздействия ЭМЛ (рис.1). Эти изменения свидетельствуют об уменьшении напряжения центральных регуляторных механизмов регуляции ритма сердца. Уменьшение величины ИН указывает на повышение адаптации, спортсменов к тренировочным нагрузкам [8].

Рис 1. Влияние пролонгированного воздействия ЭМЛ на показатели кардиоритма у баскетболистов.

Из других показателей в результате анализа можно выделить тенденцию к уменьшению коэффициента вариации, степени дыхательной аритмии и асимметрии. Несмотря на их малую среднегрупповую информативность полученные показатели могут быть использованы при индивидуальном анализе данных.

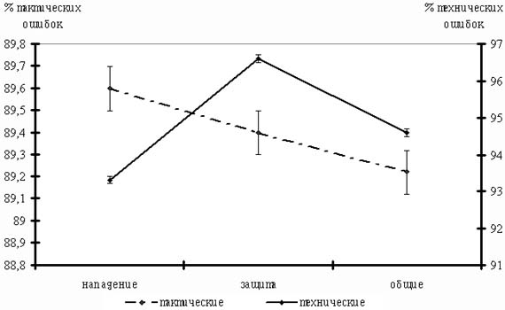
Проведенные исследования показали, что у спортсменов экспериментальной группы на фоне пролонгированного воздействия ЭМЛ наблюдается тенденция к улучшению соревновательной деятельности (табл.2) по сравнению с исходным состоянием показателей выносливости, силы и быстроты перемещения на площадке. Так, эффективность бросков с ближних и средних дистанций возросла с 46,4% до 48,5%; штрафных бросков с 68,6% до 74,2%.

Таблица 2

Соотношение тактических и технических ошибок, совершаемых баскетболистами в среднем за игру ( n = 22 ).

Ошибочные действия

Тактические ошибки

Технические ошибки

Всего

M+m

%

M+m

%

M

%

До воздействия ЭМЛ

В нападении

26.1+3.3

42.83

8.3+0.75

13.52

34.6

56.35

В защите

23.8+2.1

38.76

3.0+0.26

4.89

26.8

43.65

Всего

50.1+3.3

81.59

11.3+0.26

18.4

61.4

100

После воздействия ЭМЛ

В нападении

23.4+1.9

42.24

7.8+0.68

14.07

31.2

56.31

В защите

21.3+1.84

38.45

2.9+0.19

5.23

24.2

43.68

Всего

44.7+3.77

80.68

10.7+0.89

19.31

55.4

100

Рис 2. Изменение соотношения ошибок у баскетболистов после пролонгированного воздействия ЭМЛ

Увеличились также показатели подбора мяча на щите, перехватов и количества набранных за игру очков (с 74,0 до 83,4). У спортсменов контрольной группы указанные показатели в целом остались на прежнем уровне.

Полученные результаты позволяет констатировать достаточную степень их идентичности, что дает основание для проведения объективного эксперимента.

Таким образом, наши исследования дают возможность предполагать, что адаптация к нагрузке ССС на фоне пролонгированного применения ЭМЛ изменяет её регуляцию по парасимпатическому типу.

Как видно из результатов игровой деятельности (рис.2) эти изменения регуляции носят оптимизирующий характер, стабилизируют ЦНС спортсмена на более высоком уровне, сглаживанию баланса возбуждения и торможения, наблюдается консолидации функциональных возможностей сердца.

Все упомянутые факторы проявились в играх первенства вузов Украины, где команда НУФКиС на протяжении всех соревнований показала стабильную результативную игру.

Выводы:

1. Пролонгированное, на протяжении 30 дней, вдыхание эфирных масел лаванды у баскетболистов улучшает адаптацию к тренировочным и соревновательным нагрузкам.

2. При пролонгированном воздействии эфирного масла лаванды игровая деятельность характеризуется улучшением точности, дифференцировки и подвижности.

3. На фоне пролонгированного воздействия эфирного масла лаванды адаптация к нагрузкам регуляции ССС наблюдается по парасимпатическому (более экономичному) типу.

Дальнейшие исследования поставленных в работе проблем возможны в направлении использования фитопрепаратов в восстановительных мероприятиях баскетбольных команд.

Литература

1. Леонов А.Д. Тактическая подготовка баскетболистов (методические рекомендации). - Запорожье, ГКФИС, 1990. - 64 с.

2. Медведев В.В. Психологические основы тактической подготовки спортсмена. - М.: ГЦОЛИФК, 1987. - 274 с.

3. Ткачук В.Г., Битко С.Н. Пролонгированное применение эфирного масла лаванды для коррекции функционального состояния спортсменов в условиях учебно-тренировочного процесса / Материалы научно-практической конференции "Проблемы адаптации в спорте". - Одесса, 1990. - С. 137.

4. Бондаренко А.С., Резник С.Р., Мещеряков А.А. Иммуностимулирующие и иммунодепрессивные свойства экстрактов и эфирных масел из лекарственных растений // Тезисы докладов VIII совещания по проблеме фитонцидов. - К.: "Наукова думка", 1979. - С.94-95

5. Рощина В.Д. Возможные механизмы действия фитонцидов // Тезисы докладов VII совещания по проблеме фитонцидов. - К.: "Наукова думка", 1979. - С. 83-84.

6. Родионов А.В., Воропай В.И. Психологические основы подготовки баскетболистов. - Киев: "Здоров’я", 1989 г. - 274 с.

7. Чекман И.C. Фармакологическая регуляция функции миокарда в условиях коронароспазма и сердечно-сосудистой недостаточности // Тезисы II Всесоюзного Симпозиума "Физиология и патология сердца и коронарного кровообращения" - К., 1987. - С.180-181.

8. Баевский Р.М., Кириллов О.И., Клецкин С.З. Математический анализ изменений сердечного ритма при стрессе. - M.: Наука, 1984. - 223 с.

Поступила в редакцию 12.05.2003г.


 Home На главную   Library В библиотеку   Forum Обсудить в форуме 

При любом использовании данного материала ссылка на первоисточник обязательна!

Реклама: