СИСТЕМА ОЦЕНКИ ЭФФЕКТИВНОСТИ ИГРОВЫХ ДЕЙСТВИЙ БАСКЕТБОЛИСТОВ

Кудимов В.Н.

Харьковская государственная академия физической культуры

Аннотация. В основе разработанной системы оценки эффективности игровых действий баскетболистов лежит детальная компьютерная обработка видеозаписи игры. Действия игроков в нападении и защите оцениваются как положительные или отрицательные в очках относительно стоимости одной атаки в игре.

Ключевые слова: эффективность, баскетбол, игровые действия, система оценки.

Анотацiя. Кудiмов В.М. Система оцiнки ефективностi iгрових дiй баскетболiстiв. В основi розробленої системи оцiнки ефективностi iгрових дiй баскетболiстiв лежить детальна комп'ютерна обробка вiдеозапису гри. Дiї гравцiв у нападi i захистi оцiнюються як позитивнi чи негативнi в очках щодо вартостi однiєї атаки в грi.

Ключовi слова: ефективнiсть, баскетбол, iгровi дiї, система оцiнки.

Annotation. Kudimov V.N. System of an assessment of efficacyy of game actions basketball-players. In the basis of the designed system of the estimation of the efficiency of game activities of basketball players lies detailed computer processing of a video of the game. The activities of players in attack and defense are estimated as positive or negative as points as referred to the number of points of one attack in the game.

Keywords: efficiency, basketball, game activities, system of estimation.

В последнее десятилетие украинский баскетбол значительно сдал свои позиции. Достаточно сказать, что в двух последних олимпийских циклах мужская сборная команда Украины не участвовала в финальных соревнованиях чемпионатов мира, Европы и Олимпийских игр.

Ведущими специалистами баскетбола отмечается значительное снижение качества игры как сборной, так и клубных команд, особенно это касается качества игры в защите.

Контроль качества игры команды и каждого игрока во всех ее компонентах является важнейшим условием прогресса в баскетболе. Однако используемые в практике системы оценки эффективности игровых действий баскетболистов не учитывают многие важные моменты в индивидуальных и командных действиях игроков.

Нами на основе компьютерного анализа видеозаписи игры разработана система оценки качества соревновательной деятельности баскетболистов, суть которой излагается в настоящей статье.

В основе системы лежит детальный анализ игровых действий баскетболистов в каждой фазе нападения и следующей за этим фазе защиты на протяжении всей игры, что осуществляется в ходе многократного видеопросмотра игры статистиками-аналитиками.

Далее следует ввод в компьютер закодированной информации и обработка ее по программе, разработанной кафедрой спортивных игр и научной лабораторией ХаГИФК и получившей название "ХаГИФК - баскетбол - 2000".

Система предназначена для контроля за эффективностью соревновательной деятельности отдельных игроков и команды в целом, прослеживания динамики игровых показателей в макро и мезоциклах, определения степени соответствия плановых заданий с полученным результатом

Использование системы в соревновательном цикле стимулирует сознательное и активное отношение игроков к выполнению всех игровых действий, приучает к профессиональному выполнению своих обязанностей.

Тренеры получают исчерпывающую информацию о действиях игроков и команды в удобном для использования виде.

Принципиальное отличие предлагаемой системы от существующих в практике заключается в следующем:

1. Действия игрока прямо или косвенно влияющие на изменение соотношения очков по ходу игры команд "А" и "Б" оцениваются также в очках относительно стоимости одной атаки этих команд в данной игре. Стоимость атаки это частное от деления количества набранных в игре очков на количество атак, выполненных командой.

2. Планируемые индивидуальные и командные модельные показатели соревновательной деятельности рассчитываются не в количественных единицах, а в процентном отношении к действиям, состоявшимся в игре. Так, например, игрок "А" получает задание подобрать 40% отскоков мяча на своем щите, имевших место в игре, а не сделать 12 подборов.

3. При оценке вклада игрока в конечный счет игры учитываются не только индивидуальные показатели, но и участие в командных действиях. Для этого стоимость одной игровой минуты (частное от деления количества набранных очков на 40 минут игрового времени) умножается на время, проведенное игроком на площадке.

4. Новизна предлагаемой системы заключается также в том, что кроме совершенных в игре действий регистрируются и получают оценку действия, которые должны выполняться, но не были выполнены. Например, игрок не оказал сопротивления при броске соперника, не вернулся в защиту и пр.

Все действия в нападении и защите прямо или косвенно влияющие на изменение счета игры, разделены на положительные (знак +) и отрицательные (знак -).

Действия игроков команды "А", способствующие увеличению счета в пользу команды "А" и снижающие эффективность атак команды "Б" считаются положительными, а действия , снижающие вероятность увеличения счета в пользу команды "А" и способствующие увеличению его в пользу команды "Б" - отрицательными.

В соответствии с этим положением разработан перечень действий игроков: 1) в нападении со знаком "+", 2) в нападении со знаком "-", 3) в защите со знаком "+", 4) в защите со знаком "-".

Действия в нападении со знаком (+)

Выигрыш спорного броска ; голевая передача; игрок "заработал" неспортивный фол; игрок "заработал" фол (фол не пробивается); бросок 3 очка; бросок 2 очка позиционный; бросок 2 очка ближний; бросок 2 очка в проходе; фолы 3 очка; фолы 2 очка; фол 1 очко; подбор на чужом щите; доработка мяча; очень активное действие; добивание мяча при отскоке; отбивание мяча при отскоке партнеру.

Действия в нападении со знаком (-)

Пробежка; двойное ведение; 3 секунды; неточная передача; передача противнику; не поймал мяч; аут; потеря ведения; выбили мяч; вырвали мяч; попал на спорный; фол в нападении; неоправданный фол в нападении; технический фол в нападении; неспортивный или дисквалифицирующий фол в нападении; обоюдный фол; обоюдный фол неоправданный; "фонарный" бросок (или проход) 2 очка; "фонарный" бросок (или проход) 3 очка; бросок в ситуации неготовности команды к подбору; попал на блок; отсутствие на подборе; удержание 5 сек; удержание 8 сек; удержание 24 сек; зона.

Действия в защите со знаком (+)

Перехват; отбор ведения; выбивание; вырывание; блок для 2-х очкового броска; блок для 3-х очкового броска; подбор; доработал мяч; очень активное действие; заработал спорный; обоюдный фол; удержание 5 сек; удержание 8 сек; удержание 24 сек; заработал фол; отбил мяч партнеру.

Действия в защите со знаком (-)

Проиграл позицию - усложнил обстановку; проиграл позицию - дал забить ближний мяч; не переключился; не играл в подстраховке; дал бросить без сопротивления 3-х очковый бросок; дал бросить без сопротивления 2-х очковый бросок; проиграл отскок; получил игровой фол; получил неоправданный фол без пробития; получил неоправданный фол с пробитием; получил гол + фол на 3-х очковом броске; получил гол + фол на 2-х очковом броске; получил неоправданный или дисквалифицирующий фол; получил обоюдный фол (неоправданный); получил технический фол; технический фол игроку на скамейке.

Предлагаемый перечень анализируемых игровых действий может видоизменяться в соответствии с запросами тренера команды.

Оценка игровых действий со знаком "+" или "-" проводятся на основании анализа статистических данных, использования опыта оценки их в других системах, логических построений. В некоторых случаях эти оценки достаточно условны и могут быть изменены в сторону увеличения или уменьшения, кроме того оценки могут корректироваться в зависимости от сложности игры и индивидуальных заданий на игру.

Определение основных понятий и условные обозначения:

1.Количество очков, набранных в игре. Команда "А" - х, "Б" - х1;

2.Количество бросков "А" - m, "Б" - m1;

3.Процент попадания "А" - y, "Б" - y1;

4.Количество атак

Атакой будем считать действия команды от момента начала контроля над живым мячом до перехода мяча к сопернику или окончания выполнения штрафных бросков в сторону соперника. Атака может состоять из одного или нескольких владений мячом. Количество атак команды "А" - a; количество атак команды "Б" - a1

Право на первую атаку получает команда, выигравшая начальный спорный бросок. Далее атаки чередуются. Две или более атаки в одну сторону возможны в случаях:

а) овладения отскоком после пробития фолов в сторону соперника;

б) назначения в сторону соперника неспортивного, технического или дисквалифицирующего фола игроку или тренеру.

5. Время игры - Т. Чистое игровое время 4' 10 плюс время дополнительных периодов.

6. Время, сыгранное игроком в игре - t. Суммируется чистое игровое время пребывания игрока на площадке.

7. Стоимость атаки - СА. Доля очков, приходящихся в среднем на одну атаку.

8. Стоимость игровой минуты - СМ. Доля очков, приходящихся в среднем на одну минуту игры.

Как отмечалось выше, каждое действие игрока на площадке со знаком "+" или "-" после введения игровых показателей в компьютерную программу получает оценку в очках относительно стоимости одной атаки в данной игре.

Оценка игровых действий

В качестве примера приведем логику оценки нескольких игровых действий в нападении и защите.

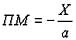
1. Игрок потерял владение мячом - потеря мяча (ПМ).

В этом случае команда теряет атаку и вероятность получить в актив очка. Значит, игрок получает:

2. Игрок "А" подобрал мяч на щите соперника

В момент броска мяч нейтральный. В случае отскока команды имеют определенные шансы подобрать отскочивший мяч. Эта ситуация напоминает спорный мяч, но вероятность овладения мячом для атакующей и защищающейся команды разная из-за расстановки игроков по отношению к корзине - защитники занимают обычно ближние позиции и "держат на спине" нападающих.

В практике принято считать, что вероятность подбора у защищающейся команды выше и для равных команд составляет 60-70% для защитников и 30-40% для нападающих.

Примем следующее соотношение вероятности подбора:

70% у защитников, 30% у нападающих

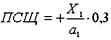
При подборе чужого щита (ПЧЩ) игрок лишает соперника его "законных" 70% вероятности атаки, т.е. получаем

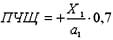
1. Подбор на своем щите (ПСЩ)

Сделав подбор на своем щите, игрок "А" лишает команду "Б" 30% вероятности получить атаку в сторону "А", поэтому

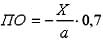
2. Проигрыш отскока на своем щите (ПО).

Проиграв отскок на своем щите игрок команды "А" теряет для своей команды 70% вероятности произвести атаку в сторону команды "Б", поэтому

Набранные в игре очки за действия в нападении и защите выводятся в таблицы: 1) оценка индивидуальных действий в нападении; 2) оценка индивидуальных действий в защите; 3) результативность бросков, на базе которых рассчитывается таблица "Игровой рейтинг", распределяющая игроков по величине их вклада в конечный счет игры.

Литература

1. Баскетбол. Учебник для вузов физической культуры / Под общей редакцией Ю.М. Портнова. - М., 1997. - С. 417 - 443.

2. Зациорский В.М. Кибернетика, математика, спорт. М.:, ФиС, 1969. - С. 47-53.

3. Методы педагогического исследования. Лекции / Под редакцией В.И. Журавлева. - М.: Просвещение, 1972. - С. 62-89.

4. Познахирев В.Ф. Научно-математические методы и электронно-вычислительная техника в спортивных играх. Уч. пособие. - Харьков, 1994. - С. 9-21.

5. Филин В.П., Семенов В.Г., Алабин В.Г. Современные методы исследований в спорте. Уч. пособие. - Харьков: Основа, 1994. - С. 82-95.

Поступила в редакцию 07.02.2002г.


 Home На главную   Library В библиотеку   Forum Обсудить в форуме 

При любом использовании данного материала ссылка на первоисточник обязательна!